Thầy Nguyễn Dương Thịnh - Giáo viên Trường THPT Duy Tiên B (Hà Nam) cho rằng: Tập luyện cho học sinh năng lực dự đoán trong dạy học môn Toán là một việc làm cần thiết.
Nó không những góp phần kích thích sự tìm tòi, ham hiểu biết của học sinh mà còn giúp cho học sinh rèn luyện các quy tắc có tính chất tìm đoán một cách hợp lí tránh được những mày mò không có định hướng, để tìm đến cách giải ngắn gọn, cô đọng.
Nhằm nâng cao chất lượng dạy học nội dung BĐT ở trường trung học phổ thông, ngoài việc trang bị cho học sinh những kiến thức cơ bản về bất đẳng thức như: BĐT trị tuyệt đối, BĐT Cauchy, BĐT Bunhiacopxki... chúng ta cần cho học sinh tập luyện dự đoán cách tìm lời giải trong bài toán BĐT, tìm GTLN và GTNN của một biểu thức.
Qua thực tế giảng dạy thầy Thịnh nhận thấy việc làm này chưa diễn ra thường xuyên, hầu hết giáo viên chỉ dừng lại ở việc định hướng sẵn cách nghĩ, cách làm cho học sinh, do đó khi gặp một bài toán chứng minh BĐT học sinh thường có nhiều lúng túng, không biết giải như thế nào.
Để khắc phục những tồn tại đó thầy Thịnh thấy rằng cần phải tập luyện cho học sinh năng lực dự đoán cách tìm lời giải trong các bài toán chứng minh BĐT, tìm GTLN và GTNN của một biểu thức.
Theo tác giả G.Polya “Dự đoán là những phán đoán dựa trên cơ sở những quan sát đã tiến hành từ trước và sự phù hợp của chúng đối với quy luật đã giả định để đưa ra kết quả của sự quan sát tiếp theo của mình.
Trong quá trình tìm lời giải một bài toán, dự đoán không những giúp ta hiểu bài toán mà còn tránh được những cách giải mày mò, mù quáng.
Trước những bài toán khó không vội đi vào tính toán, chứng minh ngay mà biết căn cứ vào dữ kiện và mục tiêu cần giải quyết để có những trù liệu, phán đoán. Nó thuộc loại vấn đề gì? Đại thể nên bắt đầu từ đâu?
Giả thiết cho chúng ta biết những gì? Có điều gì đặc biệt trong bài toán đã cho? Sau đó mới bắt tay vào tính toán, chứng minh. Khi đạt được một kết quả nào đó thì kết hợp với mục tiêu dự đoán, cảm nhận được cách giải nào sẽ đạt được kết quả.
Nếu thấy có thể được thì sẽ tiếp tục phương pháp đó, nếu cảm nhận thấy không được thì phải quay lại điều kiện ban đầu để dự đoán, tìm cách giải khác, điều chỉnh cho tới khi giải được bài toán.
Thầy Thịnh đưa ra ví dụ:
![]() |
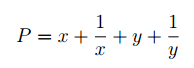
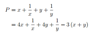
Đối với học sinh khá giỏi thì việc tìm ra lời giải bài toán hoặc hiểu lời giải bài toán này không quá khó khăn. Tuy nhiên, đối với hầu hết học sinh việc tìm ra lời giải bài toán này là một công việc khó khăn, học sinh không hiểu tại sao biểu thức:
![]() |
lại phân tích thành:
![]() |
Hoặc nếu để học sinh tự làm thì thường dẫn đến sai lầm khi giải bài toán bằng cách áp dụng ngay BĐT Cauchy. Do đó giáo viên có thể tập luyện cho học sinh dự đoán cách thức tìm lời giải bài toán này như sau:
+ Nhận thấy một biểu thức đạt được GTLN hoặc GTNN khi tồn tại các giá trị của biến để dấu “=” có thể xảy ra.
+ Đối với bài toán trên thì ta thấy P là biểu thức đối xứng đối với cả 2 biến x, y và khi dấu “ =” xảy ra thì từ giả thiết của bài toán ta có x + y = 1, do vậy GTNN của biểu thức có thể đạt được tại x = y = 1/2
Khi đó để sử dụng BĐT Cauchy chính xác thì phải đi tìm biểu thức phù hợp để x, y cùng bằng 1/ 2
Từ đó chúng ta hướng cho học sinh biến đổi theo hướng sau:
![]() |
Thầy Thịnh cho rằng, việc rèn luyện năng lực dự đoán tìm lời giải cho bài toán chứng minh BĐT là một việc làm cần thiết góp phần kích thích tính tò mò, sự ham hiểu biết của học sinh, làm cho học sinh có hứng thú trong học toán và hiểu sâu hơn về bài toán.
Theo tác giả G.Polya “Một phát minh khoa học lớn cho phép giải quyết một vấn đề lớn, nhưng ngay cả việc tìm được lời giải cho một bài toán cũng có ít nhiều phát minh”. Do đó sẽ thật hữu ích nếu giáo viên thường xuyên tập luyện cho học sinh năng lực dự đoán tìm lời giải cho một bài toán.



