Đặc biệt, từ năm học 2006 - 2007 trở đi Bộ GD&ĐT chuyểnhình thức kiểm tra đánh giá năng lực học sinh từ tự luận sang trắc nghiệm.
Hình thức kiểm tra đánh giá này đòi hỏi học sinh trong thời gian ngắn giải xong một lượng kiến thức cả về chiều rộng và bề sâu cũng như các kĩ năng giải toán.
Chính vì vậy giáo viên phải trang bị cho học sinh phương pháp và kĩ thuật giải nhanh cách cân bằng phương trình oxi hóa khử nhằm đáp ứng theo yêu đổi mới kiểm tra đánh giá năng lực học sinh theo hình thức trắc nghiệm qua các kì thi ở lớp, các kì thi quốc gia do Bộ GD&ĐT tổ chức.
Chia sẻ giải pháp giúp học sinh nắm vững, giải nhanh các dạng bài tập phương trình oxi hóa - khử, thầy Võ Minh Hải (Trường THPT Tháp Mười, Đồng Tháp) cho rằng: Trước hết cần yêu cầu học sinh phải nắm vững kiến thức lý thuyết về các phản ứng hoá học.
Cùng với đó, nắm vững các qui tắc xác định số oxi hóa là phương pháp cơ bản nhất và xác định thành thạo số oxi hóa là bước quan trọng nhất trong việc cân bằng phương trình oxi hóa - khử.
Sau đó áp dụng tổng số electron nhường bằng tổng số electron nhận trong 1 phương trình oxi hóa- khử.
Giáo viên cung cấp kiến thức về các dạng phương trình oxi hóa - khử, cụ thể như sau:
Dạng 1: Phản ứng oxi hóa-khử không có môi trường
Ví dụ 1: Cân bằng phương trình oxi hóa –khử bằng phương pháp thăng bằng electron
![]() |
Ví dụ 2: Cân bằng phương trình oxi hóa –khử bằng phương pháp thăng bằng electron
![]() |
Ví dụ 3: Cân bằng phương trình oxi hóa –khử bằng phương pháp thăng bằng electron
![]() |
Dạng 2: Phản ứng oxi hóa-khử có môi trường
Ví dụ 1: Cân bằng phương trình oxi hóa –khử bằng phương pháp thăng bằng electron
![]() |
Ví dụ 2: Cân bằng phương trình oxi hóa –khử bằng phương pháp thăng bằng electron
![]() |
Ví dụ 3: Cân bằng phương trình oxi hóa –khử bằng phương pháp thăng bằng electron
![]() |
Ví dụ 4: Cân bằng phương trình oxi hóa –khử bằng phương pháp thăng bằng electron
![]() |
Dạng 3: Phản ứng tự oxi hóa-khử và phản ứng oxi hóa –khử nội phân tử
Phản ứng tự oxi hóa - khử:
Ví dụ 1: Cân bằng phương trình oxi hóa –khử bằng phương pháp thăng bằng electron
![]() |
Phản ứng oxi hóa –khử nội phân tử:
Ví dụ 1: Cân bằng phương trình oxi hóa –khử bằng phương pháp thăng bằng electron
![]() |
Dạng 4: Phản ứng oxi hóa - khử phức tạp
Chất khử (hai nguyên tố) và một chất oxi hóa:
Ví dụ 1: Cân bằng phương trình oxi hóa –khử bằng phương pháp thăng bằng electron
![]() |
Ví dụ 2: Cân bằng phương trình oxi hóa –khử bằng phương pháp thăng bằng electron
![]() |
Một chất khử và hai chất oxi hóa:
Ví dụ : Cân bằng phương trình oxi hóa –khử bằng phương pháp thăng bằng electron
![]() |
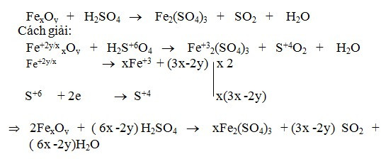
Dạng 5: Phản ứng oxi hóa –khử có hệ số bằng chữ
Ví dụ 1 : Cân bằng phương trình oxi hóa –khử bằng phương pháp thăng bằng electron
![]() |
![]() |
Dajg 6: Phản ứng oxi hóa - khử dạng ion thu gọn
Ví dụ 1 : Cân bằng phương trình oxi hóa –khử bằng phương pháp thăng bằng electron
![]() |
Ví dụ 2 : Cân bằng phương trình oxi hóa –khử bằng phương pháp thăng bằng electron
![]() |















