Với hình thức thi trắc nghiệm khách quan, nội dung kiến thức kiểm tra tương đối rộng, đòi hỏi học sinh phải học kỹ, nắm vững toàn bộ kiến thức của từng chương trong chương trình Vật lí 12.
Để đạt được kết quả tốt trong việc kiểm tra đánh giá định kỳ chất lượng học tập, thi tuyển, học sinh không những phải nắm vững kiến thức, mà còn phải có phương pháp phản ứng nhanh nhạy, xử lý tốt đối với các dạng bài tập của từng chương.
Với lý do trên, thầy Lê Đắc Duẩn - giáo viên Trường THPT Yên Dũng số 2 (Bắc Giang) - chia sẻ kinh nghiệm giúp học sinh hệ thống kiến thức và giải nhanh các dạng bài tập trắc nghiệm phần đại cương sóng cơ và giao thoa sóng cơ trong chương Sóng cơ - Vật lý 12.
Dạng bài tập I: Xác định các đại lượng đặc trưng của sóng
Phương pháp: Nắm lại kiến thức cần nhớ:
![]() |
Ví dụ minh họa:
![]() |
![]() |
Dạng bài tập II: Viết phương trình sóng
Phương pháp: Nắm lại kiến thức cần nhớ:
![]() |
![]() |
Ví dụ minh họa:
![]() |
![]() |
![]() |
Dạng bài tập III: Độ lệch pha giữa hai điểm M và N trên cùng một phương truyền sóng
Phương pháp: Nắm lại kiến thức cần nhớ:
![]() |
![]() |
![]() |
Ví dụ minh họa:
![]() |
![]() |
![]() |
Dạng bài tập IV: Giao thoa sóng
- Dạng viết phương trình dao động tổng hợp tại điểm M trong miền giao thoa. Xác định biên độ sóng tại một điểm trong vùng giao thoa.
+ Hai nguồn cùng biên độ A
Phương pháp: Nắm lại kiến thức cần nhớ:
![]() |
+ Hai nguồn A, B dao động cùng pha
![]() |
![]() |
Hai nguồn A, B dao động ngược pha
![]() |
Hai nguồn A, B dao động vuông pha
![]() |
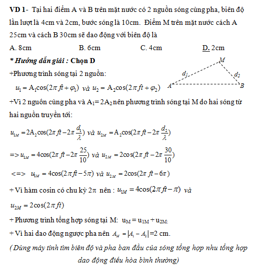
Ví dụ minh họa:
![]() |
![]() |
+ Hai nguồn khác biên độ A
Phương pháp: Nắm lại kiến thức cần nhớ:
![]() |
Các ví dụ minh họa:
![]() |
![]() |
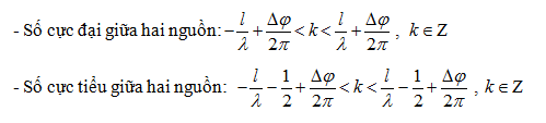
- Tìm số điểm cực đại và cực tiểu trên đoạn thẳng nối hai nguồn
Phương pháp: Nắm lại kiến thức cần nhớ:
![]() |
+ Trường hợp a: Tìm số điểm dao động cực đại và cực tiểu giữa hai nguồn cùng pha:
![]() |
Ví dụ minh họa:
![]() |
+ Trường hợp b : Tìm số điểm dao động cực đại và cưc tiểu giữa hai nguồn ngược pha:
![]() |
Ví dụ minh họa:
![]() |
+ Trường hợp c: Tìm số điểm dao động cực đại và cực tiểu giữa hai nguồn vuông pha:
![]() |
Ví dụ minh họa:
![]() |
Tìm số điểm cực đại, cực tiểu trong đoạn thẳng MN nằm trên đoạn thẳng nối hai nguồn.
Phương pháp: Nắm kiến thức cần nhớ
![]() |
Ví dụ minh họa:
![]() |
Tìm số điểm cực đại và cực tiểu trên đoạn thẳng nối hai điểm bất kỳ M, N
Phương pháp: Nắm lại kiến thức cần nhớ:
![]() |
![]() |
+ Hai nguồn A, B dao động cùng pha:
![]() |
![]() |
+ Hai nguồn A, B dao động ngược pha:
![]() |
![]() |
Ví dụ minh họa:
![]() |
![]() |
Xác định số điểm cực đại, cực tiểu trên đường tròn tâm O ( O cũng là trung điểm của đoạn thẳng chứa hai nguồn AB)
Phương pháp: Nắm kiến thức cần nhớ
Tìm số điểm dao động cực đại hoặc cực tiểu trên đường nối 2 nguồn trong trường hợp cùng pha, ngược pha.
Tính số điểm cực đại hoặc cực tiểu trên đoạn AB là k.
Suy ra số điểm cực đại hoặc cực tiểu trên đường tròn là =2.k (Do mỗi đường cong hypebol cắt đường tròn tại 2 điểm).
Cũng có thể xác định vị trí cực hoặc cực tiểu trên đường nối 2 nguồn trong trường hợp cùng pha, ngược pha nhờ vào công thứ xác định vị trí.
+ Hai nguồn dao động cùng pha:
![]() |
+ Hai nguồn dao động ngược pha:
![]() |
Ví dụ minh họa:
![]() |
Xác định vị trí tại M cùng pha, ngược pha, với các nguồn
Phương pháp: Nắm lại kiến thức cần nhớ:
![]() |
Ví dụ minh họa:
![]() |
Xác định số điểm cực đại, cực tiểu trên đoạn thẳng là đường trung trực của AB và cách AB một đoạn x ( hoặc trên đường thẳng vuông góc với AB)
Phương pháp: Nắm kiến thức cần nhớ
![]() |
Ví dụ minh họa:
![]() |
Xác định khoảng cách ngắn nhất hoặc lớn nhất từ một điểm M đến hai nguồn thỏa mãn điều kiên của đề bài ( như M cực đại, cực tiểu, cùng pha, ngược pha, vuông pha, lệch pha... so với nguồn )
Phương pháp: Nắm kiến thức cần nhớ
![]() |
Ví dụ minh họa:
![]() |
Xem nội dung lý thuyết đại cương sóng cơ và giao thoa sóng cơ TẠI ĐÂY

















































