Khi phân tích đề thi minh họa của Bộ GD&ĐT, thầy Khánh cho biết, chương nguyên hàm, tích phân và ứng dụng có 7 câu. Trong đó một số câu có thể giải bằng máy tính Casio.
Dưới đây là chia sẻ của thầy Lâm Trường Khánh về phương pháp các giáo viên tổ Toán Trường THPT Đoàn Văn Tố, thực hiện giải Toán bằng máy tính cầm tay thông qua chủ đề, nguyên hàm, tích phân và ứng dụng rút ra từ thực tế giảng dạy.
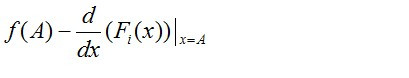
Dạng 1: Cho hàm số f(x) và các hàm số Fi(x), hãy xác định một trong các hàm số Fi(x) là một nguyên hàm của hàm số f(x).
Cú pháp trên máy tính casio:
![]() |
Trong đó: f là hàm số cần xác định nguyên hàm. Fi(x) là các phương án đã cho.
Biến A được nhập từ bàn phím để kiểm tra, A là hằng số thỏa mãn tập xác định và có giá trị nhỏ.
Nếu kết quả cho ít nhất một giá trị khác 0 thì loại phương án đó.
Nếu kết quả luôn cho giá trị bằng 0 với một dãy giá trị của A thì chọn phương án đó.
Chú ý: để dễ đọc kết quả ta nên chọn máy tính ở chế độ fix - 9 (shift-mod-6-9).
Ví dụ: Đề thi minh họa câu 23:
![]() |
Dạng 2: Cho hàm số f(x) và các hàm số Fi(x), hãy xác định một trong các hàm số Fi(x) là một nguyên hàm của hàm số f(x), sao cho F(x0) = C
Cú pháp trên máy tính Casio:
![]() |
Trong đó: x0 và C là những hằng số cho trước.
Ví dụ:
![]() |
Dạng 3: Cho hàm số y = f(x) liên tục trên đoạn [a;b]. Hãy xác định tích phân của hàm số y = f(x) trên đoạn [a;b].
Cú pháp trên máy tính Casio:
![]() |
Ví dụ 1: Đề thi minh họa câu 25:
![]() |
Ví dụ 2: Đề thi minh họa câu 26:
![]() |
Ví dụ 3:
![]() |
Ví dụ 4:
![]() |
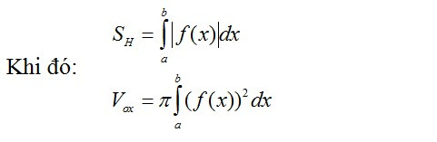
Dạng 4: Ứng dụng của tích phân trong hình học
- Cho (H) là hình phẳng được giới hạn bởi y = f(x); y = 0; x = a; x = b.
![]() |
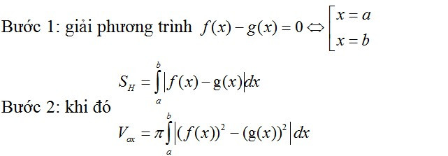
- Cho (H) là hình phẳng được giới hạn bởi y = f(x); y = g(x).
![]() |
Ví dụ: Đề thi minh họa câu 27:
![]() |
Ví dụ: Đề thi minh họa câu 28:
![]() |












