Không được bỏ qua bất cứ kiến thức cơ bản nào
Theo thầy Nguyễn Thanh Nhị - giáo viên Trường THPT Hoàng Diệu (Sóc Trăng), với hình thức thi trắc nghiệm khách quan, khối lượng kiến thức đưa vào đề thi khá lớn, có thể đủ để dàn trải hầu hết các nội dung của chương trình học; vì vậy khi làm bài dưới hình thức trắc nghiệm khách quan, học sinh phải học đầy đủ, toàn diện và không được bỏ qua bất cứ kiến thức cơ bản nào có trong chương trình.
Để làm tốt bài thi trắc nghiệm khách quan, học sinh phải chuẩn bị kiến thức lý thuyết đầy đủ, kỹ năng giải toán tự luận phải được nhuần nhuyễn, kết hợp sử dụng máy tính Casio phải thành thạo.
Với giáo viên, thầy Nhị cho rằng, khi dạy thì cuối mỗi phần trong bài, giáo viên có thể bổ sung một số câu hỏi trắc nghiệm cơ bản để củng cố kiến thức và học sinh làm quen với câu hỏi trắc nghiệm đó. Cuối mỗi chương, trước khi kiểm tra định kỳ cần ôn tập theo hướng trắc nghiệm khách quan, các thầy cô cũng cần soạn bài ôn tập chương, ôn tập học kỳ bằng các câu hỏi trắc nghiệm dưới các yêu cầu của đề kiểm tra; soạn một số đề kiểm tra mẫu để học sinh tiếp cận...
Chia sẻ về hoạt động đổi mới kiểm tra, đánh giá môn Toán tại Trường THPT Hoàng Diệu, thầy Nguyễn Thanh Nhị cho biết: Ngay từ đầu năm học tổ chuyên môn đã thống nhất hình thức và nội dung kiểm tra đánh giá thường xuyên và định kỳ.
Cụ thể, với kiểm tra thường xuyên, hoạt động kiểm tra miệng, kiểm tra 15 phút được thực hiện bằng hình thức tự luận hoặc trắc nghiệm. Riêng kiểm tra định kỳ (1 tiết và học kỳ) được thực hiện dưới hình thức trắc nghiệm khách quan. Đề kiểm tra 1 tiết gồm 20 câu hỏi trắc nghiệm (45 phút bao gồm cả phát đề và nghiên cứu đề); bài kiểm tra học kỳ gồm 50 câu hỏi trắc nghiệm với 90 phút làm bài.
“Chúng tôi cũng thống nhất nội dung kiến thức chương và cấu trúc đề kiểm tra định kỳ. Nội dung kiểm tra tương tự như các kiến thức tự luận đã thống nhất, nay thay đổi bằng chuyển sang hình thức trắc nghiệm khách quan” - thầy Nguyễn Thanh Nhị chia sẻ.
Lưu ý kiến thức cơ bản và bài tâp minh họa
Thầy Nguyễn Thanh Nhị lưu ý phần kiến thức cơ bản của hai chương: Khảo sát hàm số và những vấn đề liên quan và chương Hàm số lũy thừa, mũ, lôgarit; đồng thời chia sẻ các bài tập minh họa trong từng chương để giáo viên, học sinh tham khảo.
Theo đó, với nội dung khảo sát và vẽ đồ thị hàm số, kiến thức cơ bản gồm: Tập xác định, tập giá trị của hàm số; Tính đơn điệu và cực trị; Giá trị lớn nhất, nhỏ nhất của hàm số; Tiệm cận; Đồ thị hàm số (nhận dạng đồ thị).
Các vấn đề liên quan đến đồ thị: Vị trí tương đối của hai đường; Biện luận số nghiệm phương trình bằng đồ thị; Tiếp tuyến của đường cong; Các vấn đề khác: khoảng cách, định lý Vi-ét và hệ thức giữa các nghiệm của phương trình.
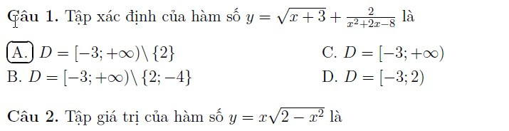
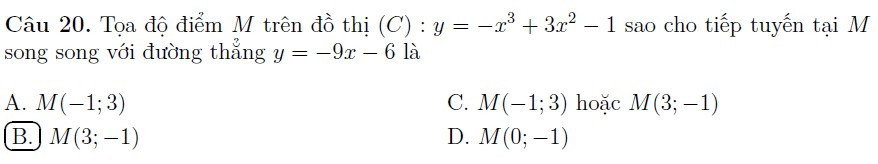
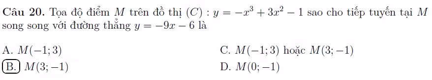
Một số đề ôn tập:
![]() |
![]() |
![]() |
![]() |
![]() |
![]() |
![]() |
Với nội dung khảo sát hàm số, các kiến thức cơ bản: Tính giá trị của biểu thức lũy thừa, mũ, lôgarit; Tính đơn điệu của hàm số lũy thừa, mũ, lôgarit; Nhận dạng đồ thị hàm số lũy thừa, mũ, lôgarit; Giới hạn, đạo hàm của hàm số lũy thừa, mũ, lôgarit; Phương trình, bất phương trình hàm số lũy thừa, mũ, lôgarit; Ứng dụng đồ thị hàm số, giá trị nhỏ nhất, lớn nhất định điều kiện của của phương trình, bất phương trình.
Một số đề ôn tập:
![]() |
![]() |
![]() |
![]() |
![]() |
![]() |












