Sáng 19/6, gần 107.000 thí sinh dự thi vào lớp 10 THPT công lập tại Hà Nội hoàn thành bài thi cuối cùng, bài thi môn Toán. Ngay sau khi thí sinh hoàn thàh bài thi, các giáo viên của tổ Toán- Trung tâm Giáo dục Hocmai đã tiến hành giải đề thi nhằm mang đến các thí sinh đáp án chính xác nhất.
Theo các giáo viên, cấu trúc đề thi vẫn bao gồm 5 bài toán lớn, mỗi bài gồm nhiều ý nhỏ được sắp xếp theo thứ tự từ dễ đến khó với các dạng bài đã rất quen thuộc nhằm tránh gây ra sự xáo trộn, bỡ ngỡ cho các thí sinh. Cụ thể như sau:
Bài 1. So với đề thi năm 2021-2022, đề thi năm 2022- 2023 đã tăng thêm ý thứ 3 – là câu hỏi ở mức độ vận dụng, đòi hỏi thí sinh cần vận dụng nhiều kiến thức để giải quyết yêu cầu của bài toán.
Bài 2. Giữ nguyên tính ổn định về độ khó và dạng bài. Ý đầu là bài toán giải bài toán bằng cách lập phương trình – hệ phương trình gắn liền với thực tế. Thí sinh cần có khả năng phân tích đề, chọn từ khóa và dữ kiện mấu chốt để giải quyết bài toán. Ý thứ 2 là câu hỏi liên quan đến hình học không gian, thí sinh chỉ cần vận dụng đúng công thức là tìm ra đáp án.
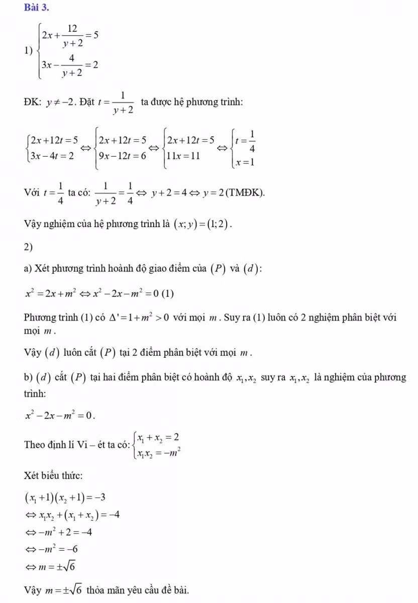
Bài 3. Mặc dù bài toán tăng một ý nhỏ so với đề thi năm 2021-2022 nhưng không có sự thay đổi về độ khó và dạng bài. Cấu trúc bài toán tương tự như các năm gần đây, gồm câu hỏi giải hệ phương trình đưa về bậc nhất và câu hỏi về sự tương giao giữa đồ thị hai hàm số, trong đó có một ý nhỏ thí sinh cần sử dụng định lí Vi-ét để giải quyết. Đây là dạng toán quen thuộc, không cần biến đổi biểu thức quá phức tạp để giải quyết yêu cầu của đề bài.
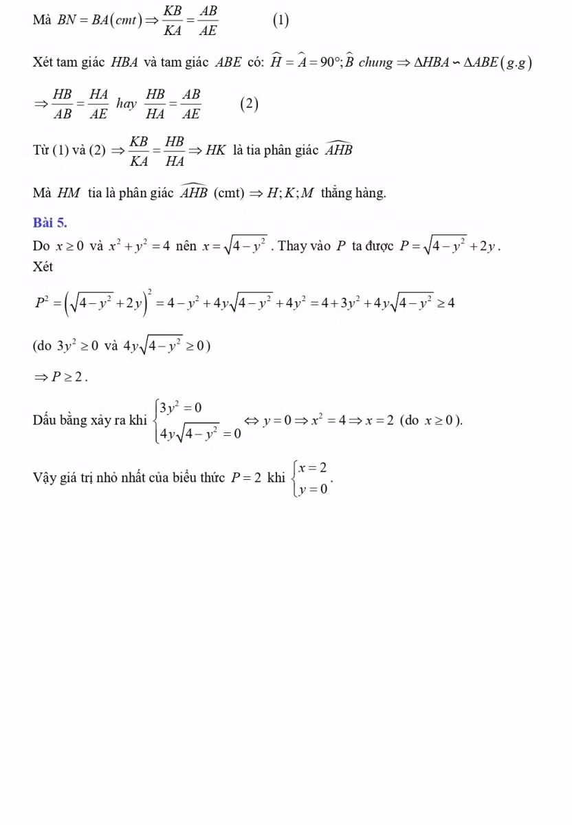
Bài 4. Tương tự như đề thi các năm, đây là một bài toán về hình học và các dạng bài xuất hiện trong các câu hỏi đều là dạng bài quen thuộc như chứng minh tứ giác nội tiếp, chứng minh đẳng thức và chứng minh ba điểm thẳng hàng. Và ý c của bài toán vẫn luôn là câu hỏi dành để phân loại thí sinh.
Bài 5. Vẫn là bài về bất đẳng thức và là câu hỏi có tính phân loại của đề. Bài toán này có nét tương đồng như bài 5 trong đề thi 2020-2021. Để giải quyết bài toán này, thí sinh cần có kỹ năng biến đổi khéo léo một chút là có thể xử lí được.

Gợi ý đáp án:




