Cụ thể gợi ý đáp án như sau:







GD&TĐ - Giáo viên tổ Toán, Hệ thống Giáo dục Hocmai gợi ý đáp án (tham khảo) môn Toán, Kỳ thi vào lớp 10 Hà Nội năm 2025.
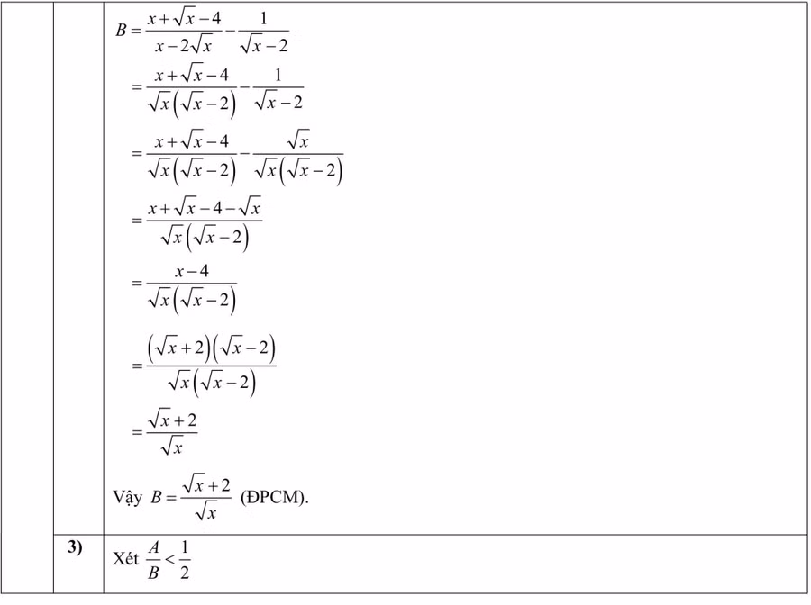
![]() |
Thí sinh sau giờ thi môn Toán tại điểm thi Trường THCS Đống Đa (Hà Nội). Ảnh: Vân Anh. |
Cụ thể gợi ý đáp án như sau:
GD&TĐ - Những xe bọc thép chở quân sử dụng khung gầm xe tăng chiến đấu chủ lực có lẽ là phương tiện cần thiết với Quân đội Nga hiện nay.
GD&TĐ - Các nguồn thông tin mở cho biết đến năm 2018, Nga có thể vẫn lưu giữ tới 130 tiêm kích MiG-31 trong các kho dự trữ.
GD&TĐ - Quân đội Nga có kho vũ khí pháo lớn nhất và cũng có nguồn cung cấp đạn dược ổn định – Tạp chí Forbes tuyên bố ngày 16/7.
GD&TĐ - Xe tăng chiến đấu chủ lực T-90M do Nga sản xuất đã trở thành một trong những phương tiện chủ chốt trong chiến dịch quân sự đặc biệt ở Ukraine.
GD&TĐ - Cấu hình mới của tàu đổ bộ Dự án 11711 mang lại khả năng tác chiến cao hơn cho Hải quân Nga.
GD&TĐ - Dù điều kiện học tập có phần hạn chế nhưng, Dương Đình Thanh người dân tộc Tày vẫn sở hữu điểm số ba môn Toán, Vật lí và tiếng Anh vô cùng ấn tượng.
GD&TĐ - Trong ngày, tình trạng ngừng hoạt động của các thiết bị máy tính chạy Windows được báo cáo ở nhiều quốc gia khác nhau.
GD&TĐ - Xem lịch âm ngày 19/10/2025. Xem ngày tốt xấu, giờ đẹp xuất hành, khai trương, động thổ...
GD&TĐ - Tử vi 12 cung hoàng đạo ngày 19/10 dự đoán vận trình sự nghiệp, tài lộc, tình duyên giúp bạn chủ động ứng phó vận xui hay may mắn đến với mình.
GD&TĐ - Vượt qua hơn 70 người đẹp đến từ khắp thế giới, người đẹp tới từ Philippines đã xuất sắc đăng quang Miss Grand International 2025.
GD&TĐ - Theo Phó Thủ tướng Hồ Đức Phớc, thanh toán không tiền mặt là xu thế tất yếu, không thể đảo ngược
GD&TĐ - Hình thức vừa làm vừa học mở cơ hội tiếp cận tri thức cho mọi đối tượng, giúp người học hoàn thiện bản thân, khẳng định tinh thần học tập suốt đời.
GD&TĐ - Khán giả London – Anh được phen người nghiêng ngả khi chứng kiến cảnh trọng tài phải “ra tay cứu chiếc khố sắp tuột” của đấu sĩ Sumo…
GD&TĐ - Để thua sốc trước CLB Becamex TP.HCM ở vòng 7 V-League, CLB Thép Xanh Nam Định tiếp tục tụt bậc trên bảng xếp hạng.
GD&TĐ - Bộ trang phục khắc hoạ hình ảnh người phụ nữ Việt hiện đại, kiêu hãnh, dám bước ra khỏi vùng an toàn, dám khẳng định giá trị bản thân.
GD&TĐ - Lễ hội truyền thống tri ân Anh hùng dân tộc Nguyễn Trung Trực tại An Giang đang được diễn ra sôi nổi, mang đậm bản sắc văn hóa Nam Bộ.
GD&TĐ - Tại kỳ họp HĐND tỉnh Sơn La khoá XV, các đại biểu đã bầu ông Hà Trung Chiến, Bí thư Đảng ủy phường Tô Hiệu giữ chức vụ Phó Chủ tịch UBND tỉnh.
GD&TĐ - Thông tin sinh viên ở Đà Nẵng bị lừa thuê trọ qua mạng, chuốc thuốc mê, khi tỉnh dậy phát hiện đã ở Campuchia là sai sự thật.
GD&TĐ - 25 tân kỹ sư ngành Kỹ thuật xây dựng công trình giao thông (chuyên ngành Đường sắt) sẵn sàng góp sức vào những dự án trọng điểm quốc gia.