Giúp học tốt khảo sát hàm số, HS lũy thừa, HS mũ - logarit thi THPT quốc gia

GD&TĐ - Từ kỳ thi THPT quốc gia 2017, môn Toán được thi dưới hình thức trắc nghiệm. Các chủ đề học sinh hay mắc sai lầm trong việc tính toán là: khảo sát hàm số, hàm số lũy thừa, hàm số mũ - logarit.

Giúp học tốt khảo sát hàm số, HS lũy thừa, HS mũ - logarit thi THPT quốc gia

Đưa ra nhận định trên, các thầy cô tổ Toán Trường THPT Trường THPT Thuận Hòa (Sóc Trăng) chia sẻ kinh nghiệm giúp học sinh phần nào vượt qua trở ngại nói trên, học và làm tốt bài thi môn Toán.

Chủ đề: Khảo sát hàm số

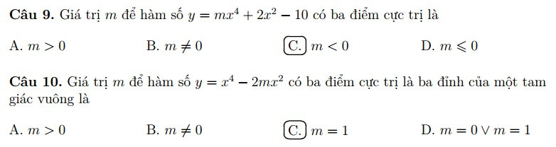
Chủ đề Hàm số lũy thừa

Chủ đề: Hàm số mũ và logarit

Các thầy cô tổ Toán Trường THPT Trường THPT Thuận Hòa nhấn mạnh: Toán là một môn học không thể thiếu và đóng vai trò chủ đạo trong các môn của ban khoa học tự nhiên, môn học khá trừu tượng nhưng lại rất thực tế.

Để học tốt môn Toán không phải chỉ cần trí tuệ là đủ mà còn cần phải siêng năng và chăm chỉ, nắm vững những kiến thức đã học; nếu để bị mất kiến thức căn bản thì sẽ rất khó để h. Do vậy, mỗi học sinh phải kiểm tra lại lượng kiến thức mình bị hổng và kịp thời bổ sung ngay. 

Tin tiêu điểm

Đừng bỏ lỡ

Cần giải quyết quyền lợi hợp lý cho người dân

Cần giải quyết quyền lợi hợp lý cho người dân

GD&TĐ - Theo ông Vũ Quốc Đông, quá trình thu hồi đất thực hiện dự án Khu nghiên cứu sinh thái và sản xuất thực nghiệm của Trung tâm Nhiệt đới Việt – Nga tồn tại nhiều vướng mắc, ảnh hưởng đến quyền lợi của các hộ dân.

Năm địa phương dẫn đầu nhóm chất lượng điều hành "Tốt".

Quảng Ninh từ khát vọng cải cách đến mô hình phát triển dẫn dắt kỷ nguyên mới

GD&TĐ - Trong bối cảnh cạnh tranh phát triển giữa các địa phương ngày nay không còn chủ yếu dựa vào tài nguyên hay lợi thế vị trí địa lý, mà được quyết định bởi chất lượng thể chế, năng lực quản trị và khả năng kiến tạo môi trường đầu tư hiện đại, việc Quảng Ninh tiếp tục được vinh danh trong nhóm dẫn đầu cả nước ở cả 2 chỉ số PCI và BPI năm 2025 mang nhiều ý nghĩa vượt ra ngoài khuôn khổ một bảng xếp hạng.

Dự án “P’PHẲNG GLOBAL GAC” của sinh viên Trường Đại học Kiên Giang. Ảnh: TG

Sân chơi của những ý tưởng triệu đô

GD&TĐ - Thời gian qua, các tỉnh, thành Đồng bằng sông Cửu Long (ĐBSCL) đã tạo điều kiện thuận lợi cho học sinh, sinh viên trong việc nghiên cứu, thực hiện các dự án khởi nghiệp, đổi mới sáng tạo.