Chiều 6/6, khoảng 96.000 thí sinh đã hoàn thành bài thi môn Tiếng Anh trong kỳ thi tuyển sinh vào lớp 10 sau 90 phút làm bài.
Tại Trường THCS Hoa Lư, TP Thủ Đức, hàng trăm thí sinh rời điểm thi trong cơn mưa. Thí sinh tỏ ra tự tin bởi đề Tiếng Anh được đánh giá vừa sức.
![]() |
![]() |
![]() |
![]() |
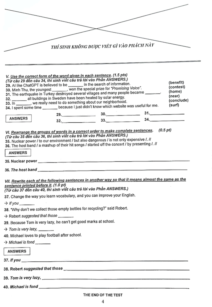
| Đề thi tuyển sinh lớp 10 môn Tiếng Anh của TP HCM. |
Đào Đức Dũng, học sinh Trường THCS Hiệp Phú cho biết, đề thi Tiếng Anh tương đối vừa sức với thí sinh, bám sát nội dung chương trình đã được học. Đề có 40 câu, Đức Dũng tự tin làm được 30-34 câu. Theo Dũng, phần khó nhất là từ vựng.
Tương tự, Trần Thị Tuyết Mai cho rằng, đề thi vừa sức, chỉ có 1-2 phần trắc nghiệm hơi lắt léo. Những câu hỏi viết lại câu rất dễ, nếu nắm chắc bài có thể giành điểm trọn vẹn.
![]() |
| Thí sinh rời điểm thi Trường THCS Hoa Lư, TP Thủ Đức sau giờ thi Tiếng Anh chiều 6/6. Ảnh: Lê Nam |
Tại điểm thi Trường THCS Trần Văn Ơn, Trần Nhật Tân đánh giá đề Tiếng anh có phần nhẹ hơn so với năm ngoái, có khoảng 5 câu đánh đố thí sinh. Tân cho biết, phần tự luận là khó nhất trong đề, những câu hỏi khác đơn giản, dễ hiểu.
Theo lịch kỳ thi tuyển sinh lớp 10, sáng ngày 7/6, thí sinh sẽ thi môn Toán. Những em đăng ký dự thi vào trường, lớp chuyên, tích hợp sẽ dự thi các môn tương ứng vào chiều 7/6.




