>>> Xem Gợi ý lời giải tất cả môn thi tốt nghiệp THPT 2023. TẠI ĐÂY
>>> Đang cập nhật...
Gợi ý lời giải môn Vật lý thuộc bài thi tổ hợp KHTN kỳ thi tốt nghiệp THPT 2023
Mã đề 201 - Hocmai
![]() |
Mã đề 209 - Hocmai

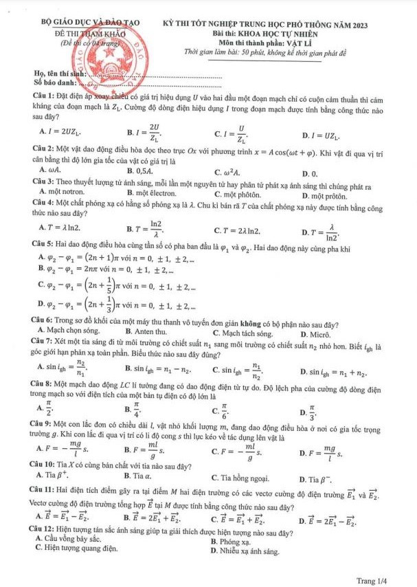
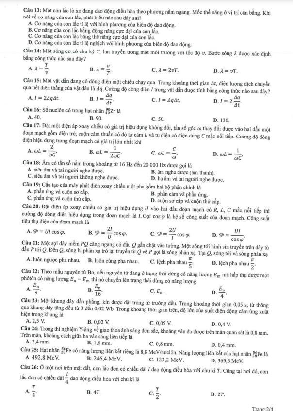
Mời quý độc giả tham khảo đề thi môn Vật lý thuộc bài thi tổ hợp KHTN kỳ thi tốt nghiệp THPT 2023:
![]() |
![]() |
![]() |
Mời quý độc giả xem đề minh họa môn Vật lý kỳ thi tốt nghiệp THPT 2023 do Bộ GD&ĐT công bố vào sáng 1/3 và lời giải gợi ý:
![]() |
![]() |
![]() |
![]() |
![]() |








