




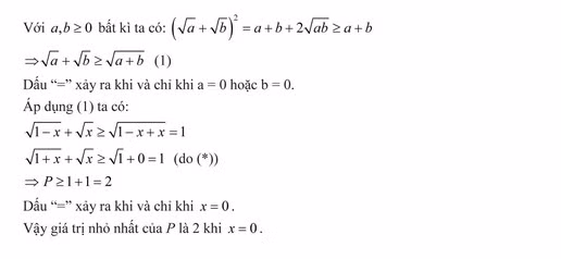
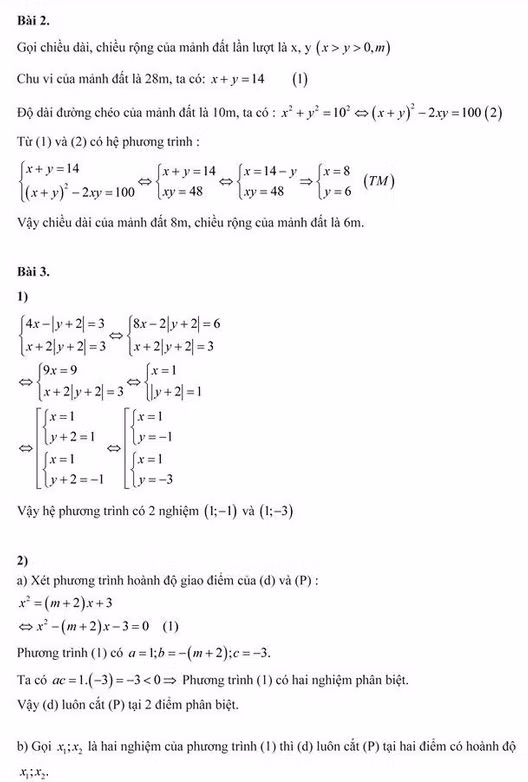
|
GD&TĐ - Những xe bọc thép chở quân sử dụng khung gầm xe tăng chiến đấu chủ lực có lẽ là phương tiện cần thiết với Quân đội Nga hiện nay.
GD&TĐ - Các nguồn thông tin mở cho biết đến năm 2018, Nga có thể vẫn lưu giữ tới 130 tiêm kích MiG-31 trong các kho dự trữ.
GD&TĐ - Quân đội Nga có kho vũ khí pháo lớn nhất và cũng có nguồn cung cấp đạn dược ổn định – Tạp chí Forbes tuyên bố ngày 16/7.
GD&TĐ - Xe tăng chiến đấu chủ lực T-90M do Nga sản xuất đã trở thành một trong những phương tiện chủ chốt trong chiến dịch quân sự đặc biệt ở Ukraine.
GD&TĐ - Cấu hình mới của tàu đổ bộ Dự án 11711 mang lại khả năng tác chiến cao hơn cho Hải quân Nga.
GD&TĐ - Dù điều kiện học tập có phần hạn chế nhưng, Dương Đình Thanh người dân tộc Tày vẫn sở hữu điểm số ba môn Toán, Vật lí và tiếng Anh vô cùng ấn tượng.
GD&TĐ - Trong ngày, tình trạng ngừng hoạt động của các thiết bị máy tính chạy Windows được báo cáo ở nhiều quốc gia khác nhau.
GD&TĐ -Ngày 5/10, Nhà hát Opera Hà Nội bên Hồ Tây-công trình văn hóa hiện đại bậc nhất Việt Nam sẽ khởi công, hứa hẹn trở thành biểu tượng mới của Thủ đô.
GD&TĐ - Tử vi 12 cung hoàng đạo ngày 3/10 dự đoán vận trình sự nghiệp, tài lộc, tình duyên giúp bạn chủ động ứng phó vận xui hay may mắn đến với mình.
GD&TĐ - Chiều 2/10, tại Trung tâm Đổi mới sáng tạo quốc gia, diễn ra lễ vinh danh các đội thi đạt thành tích cao trong các giải đấu STEM, robotics quốc tế.
GD&TĐ - Sở GD&ĐT Hà Nội thông báo đã nhận được 7.200 hồ sơ gửi đăng ký tuyển dụng giáo viên, nhân viên năm 2025, trong đó chỉ tiêu là 942 người.
GD&TĐ - Ngày 2/10, Trường THCS Đống Đa (Kim Liên, Hà Nội) tổ chức chương trình “Mùa trăng yêu thương 2025” với nhiều hoạt động giáo dục ý nghĩa.
GD&TĐ - Tối 2/10, Trường ĐH Sư phạm - ĐH Đà Nẵng tổ chức Chương trình Khai khóa và Chào đón tân sinh viên năm 2025 với chủ đề “Viết tiếp ước mơ”.
GD&TĐ - Tử vi 12 con giáp ngày 3/10 dự đoán vận trình sự nghiệp, tài lộc, tình duyên giúp bạn chủ động ứng phó vận xui hay may mắn đến với mình.
GD&TĐ - Công ty CPSX Nhựa Duy Tân cùng Bộ Công an và Công an Cao Bằng tổ chức chương trình "Chia sẻ yêu thương" cho học sinh, bà con vùng cao.
GD&TĐ - Hội LHPN Việt Nam kỷ niệm 95 năm thành lập, đón Huân chương Lao động hạng Nhất với sự tham dự của Tổng Bí thư Tô Lâm.
GD&TĐ - Bão số 11 (Matmo) tiếp tục tăng cấp, giật cấp 11, di chuyển theo hướng Tây Tây Bắc, tốc độ khoảng 25km/h.
GD&TĐ - Thành ủy Cần Thơ thống nhất giới thiệu ông Trương Cảnh Tuyên, Phó Bí thư Thành ủy để HĐND TP bầu giữ chức Chủ tịch UBND TP Cần Thơ.
GD&TĐ - Thép Xanh Nam Định có chiến thắng sát nút trước Eastern ở lượt trận thứ 2 vòng bảng Cúp C2 châu Á.