Đề thi môn Toán tuyển sinh vào lớp 10 THPT năm học 2021-2022 tại Thái Bình như sau:
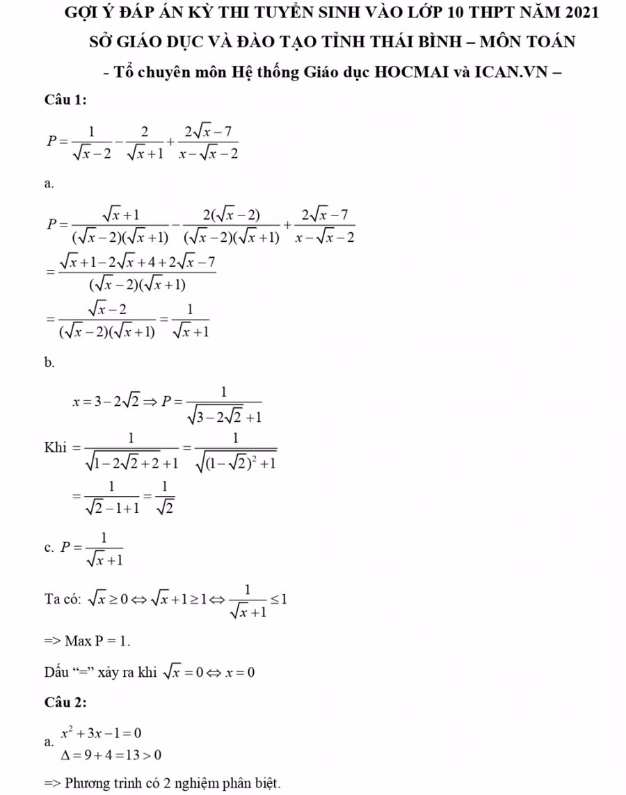
Gợi ý giải bài thi môn Toán tuyển sinh vào lớp 10 THPT năm học 2021-2022 tại Thái Bình như sau:
|
| Ảnh minh họa/ITN |
Đề thi môn Toán tuyển sinh vào lớp 10 THPT năm học 2021-2022 tại Thái Bình như sau:
Gợi ý giải bài thi môn Toán tuyển sinh vào lớp 10 THPT năm học 2021-2022 tại Thái Bình như sau:
GD&TĐ - Những xe bọc thép chở quân sử dụng khung gầm xe tăng chiến đấu chủ lực có lẽ là phương tiện cần thiết với Quân đội Nga hiện nay.
GD&TĐ - Các nguồn thông tin mở cho biết đến năm 2018, Nga có thể vẫn lưu giữ tới 130 tiêm kích MiG-31 trong các kho dự trữ.
GD&TĐ - Quân đội Nga có kho vũ khí pháo lớn nhất và cũng có nguồn cung cấp đạn dược ổn định – Tạp chí Forbes tuyên bố ngày 16/7.
GD&TĐ - Xe tăng chiến đấu chủ lực T-90M do Nga sản xuất đã trở thành một trong những phương tiện chủ chốt trong chiến dịch quân sự đặc biệt ở Ukraine.
GD&TĐ - Cấu hình mới của tàu đổ bộ Dự án 11711 mang lại khả năng tác chiến cao hơn cho Hải quân Nga.
GD&TĐ - Dù điều kiện học tập có phần hạn chế nhưng, Dương Đình Thanh người dân tộc Tày vẫn sở hữu điểm số ba môn Toán, Vật lí và tiếng Anh vô cùng ấn tượng.
GD&TĐ - Trong ngày, tình trạng ngừng hoạt động của các thiết bị máy tính chạy Windows được báo cáo ở nhiều quốc gia khác nhau.
GD&TĐ - Nga đang phát triển một loại vũ khí nhắm vào các vệ tinh Starlink của tỷ phú người Mỹ Elon Musk.
GD&TĐ - Năm học 2025-2026, nhiều cơ sở giáo dục nghề nghiệp, giáo dục thường xuyên đẩy mạnh ứng dụng công nghệ nhằm tạo đột phá chất lượng.
GD&TĐ - Thủ tướng Slovakia Robert Fico đã khánh thành đường hầm cao tốc dài nhất nước này bằng cách trượt patin xuyên qua công trình khổng lồ dài 7,5 km.
GD&TĐ - Sáng 23/12, Công an TP Hà Nội thông tin ban đầu vụ cháy xảy ra tại chợ Xanh (Định Công, phường Phương Liệt, TP Hà Nội).
GD&TĐ - Chính quyền Kiev muốn duy trì quy mô Lực lượng Vũ trang Ukraine gồm 800 nghìn binh sĩ, để đảm bảo an ninh sau khi xung đột với Nga kết thúc.
GD&TĐ - Cùng điểm lại Top 10 cầu thủ bóng đá sở hữu nhiều danh hiệu nhất thế giới cho tới thời điểm hiện tại.
GD&TĐ - Những cuộc ẩu đả thực sự đã nổ ra trong một phiên họp của quốc hội Thổ Nhĩ Kỳ hôm 22/12 vì việc thông qua ngân sách.
GD&TĐ - Mặc dù xuất khẩu vũ khí của Nga đã giảm trong những năm gần đây, Moskva vừa ký kết được một số thỏa thuận mua bán máy bay chiến đấu rất tốt.
GD&TĐ - Từ những giờ học Lịch sử được đổi mới đến các hành trình về nguồn giàu cảm xúc, giáo dục lòng biết ơn, tinh thần yêu nước đang được nhiều trường lồng ghép theo hướng thiết thực, giúp học sinh hiểu sâu sự hy sinh của thế hệ cha ông và trân trọng giá trị hòa bình hôm nay.
GD&TĐ - Sau 2 tháng miệt mài nghiên cứu, bốn học sinh Trường THPT Đông Hà (Quảng Trị) đã mày mò thiết kế robot cứu hỏa, vượt qua nhiều đội mạnh để giành giải Nhất Robotics tại Ngày hội Công nghệ số 2025.
GD&TĐ - Mohamed Salah gạt qua sóng gió, toả sáng với bàn quyết định ở phút bù giờ giúp tuyển Ai Cập hạ Zimbabwe 2-1 tại Cup châu Phi (AFCON) hôm 23/12.
GD&TĐ - Huấn luyện viên Kim Sang Sik có những chia sẻ thú vị về việc giành "cú ăn 3" trong cùng 1 năm với bóng đá Việt Nam.