Báo GD&TĐ giới thiệu gợi ý đáp án đề thi Toán dành cho thí sinh thi chuyên Tin học lớp 10 năm học 2023-2024 trường THPT Chuyên Hùng Vương (Phú Thọ).
Gợi ý đáp án do đội ngũ giáo viên Toán Trường THCS Lâm Thao, huyện Lâm Thao (Phú Thọ) thực hiện.
![]() |
| Đề Tin vào lớp 10 Trường THPT chuyên Hùng Vương |
![]() |
| Gợi ý đán án trang 1 |
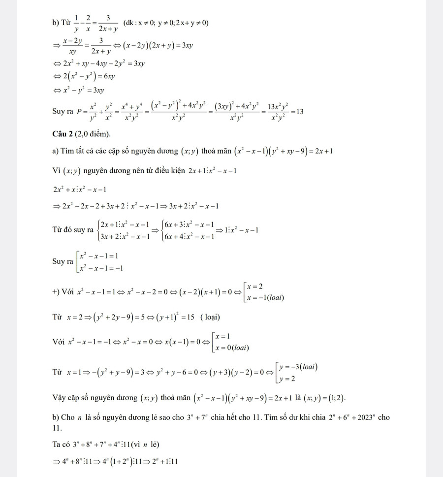
![]() |
| Gợi ý đáp án trang 2 |
![]() |
| Gợi ý đáp án trang 3 |
![]() |
| Gợi ý đáp án trang 4 |
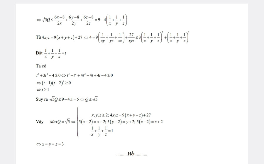
![]() |
| Gợi ý đáp án trang 5 |
![]() |
| Gợi ý đáp án trang 6 |
Theo nhận xét của thầy giáo Đinh Văn Hưng – Giáo viên Toán trường THCS Lâm Thao, huyện Lâm Thao (Phú Thọ), Đề thi Toán dành cho thí sinh thi chuyên Tin học năm nay khó hơn năm trước; các nội dung bài số học và bài bất đẳng thức khó hơn các năm trước; độ phân hóa rất cao.
“Theo tôi, trong tất cả các câu có câu 1, câu 2, câu 4 dễ kiếm điểm nhất. Phổ điểm học sinh có thể đạt 6 điểm – 7 điểm, học sinh giỏi có thể đạt 9 điểm”, thầy giáo Đinh Văn Hưng nhận định.






