Công bố của nhóm nghiên cứu người Việt Nam do PGS Trần Đăng Xuân đang công tác tại Đại học Hiroshima (Nhật Bản) đứng đầu vừa được tạp chí chuyên ngành Phân tử của MDPI tại Thụy Sĩ đăng tải ngày 29/1.
Đây là nghiên cứu đầu tiên xác nhận sự hiện diện của hai hợp chất Momilactones A và B (MA và MB) trong hạt gạo tinh chế, đồng thời là công trình đầu tiên tìm thấy hợp chất chống tiểu đường trong gạo trắng.
Một số nghiên cứu trước đây từng tìm được hợp chất ức chế tiểu đường nhưng chỉ trên gạo màu nâu hoặc đỏ, thường có phẩm chất kém và khó tiêu thụ.
![]() |
| PGS Trần Đăng Xuân (bìa phải) và nghiên cứu viên tại Phòng thí nghiệm sinh lý, thực vật và hóa sinh. Ảnh: Đại học Hiroshima. |
Nhóm nghiên cứu đã tìm ra cơ chế hoạt động ức chế α-amylase và α-glucosidase của hai hợp chất và kiểm tra hoạt tính chống tiểu đường, béo phì và bệnh gút, dựa trên các thí nghiệm "in vitro" về ức chế hoạt động của các enzyme chính có trong các bệnh này.
Cả hai hợp chất đều có hoạt tính vượt trội so với chất ức chế chuẩn đang sử dụng trong điều trị bệnh tiểu đường hiện nay.
Các nhà khoa học của Đại học Hiroshima tiếp tục kiểm tra tính chống bệnh của hợp chất trên cơ thể chuột và các thí nghiệm y sinh, lâm sàng khác trước khi ứng dụng trên cơ thể người.
![]() |
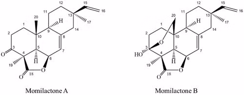
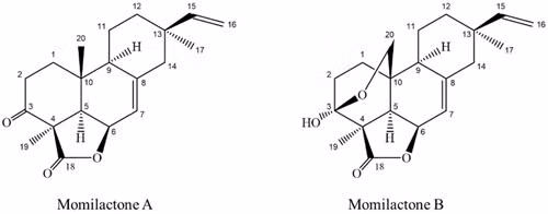
| Công thức hóa học của hai hợp chất. |
Hợp chất MA và MB rất hiếm trên thị trường thế giới và chưa được nghiên cứu đầy đủ về hoạt tính sinh học, dược lý. Hợp chất này từng được trang điện tử Carbosynth.com, một công ty chuyên bán các sản phẩm hóa sinh nổi tiếng của Anh bán với giá 125 USD cho 0,1 mg.
PGS Trần Đăng Xuân cho biết có 4 gene liên quan đến việc tổng hợp Momilactones A và B trong lúa đã được xác nhận. Điều này sẽ giúp ích cho việc tạo ra các giống lúa mới có khả năng ức chế tiểu đường, giúp làm tăng giá trị của lúa gạo Việt Nam.
Phát kiến về Momilactones A và B đưa ra quan niệm mới rằng, ăn một lượng gạo vừa phải hàng ngày góp phần tăng cường sức khỏe con người thông qua giảm bớt nguy cơ tiểu đường, bệnh gút và béo phì.
Một số công bố gần đây cho biết tại Việt Nam có hơn 3 triệu người đang mắc hoặc đối mặt với nguy cơ bệnh tiểu đường nên kết quả nghiên cứu này đặc biệt có ý nghĩa.
Chỉ sau một tháng thẩm định và phản biện, công trình được công bố trên tạp chí chuyên ngành quốc tế của MDPI (tạp chí có chỉ số ảnh hưởng xếp hạng số 1 - Q1 - đánh giá của Scimagolab.com).
MDPI là thành viên của Ủy ban Đạo đức Xuất bản (COPE). MDPI được giới nghiên cứu đánh giá là có chính sách nghiêm ngặt để đảm bảo các công trình khoa học được công bố có chất lượng cao.

