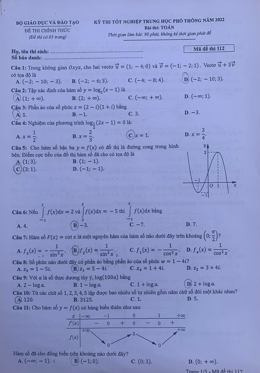
>>> Xem đề thi môn Toán TẠI ĐÂY
>>> Xem gợi ý đáp án đầy đủ 24 mã đề môn Toán TẠI ĐÂY
![]() |
Nhấn F5 để cập nhật nội dung mới nhất
Dự kiến thí sinh đạt điểm cao sẽ giảm
![]() |
| Thầy Ngô Văn Toản, giáo viên Toán, Trường THPT Ban Mai - Hà Đông, Hà Nội. |
Nhận định về đề thi môn Toán, mã đề 108 Kỳ thi tốt nghiệp THPT năm 2022, thầy Ngô Văn Toản, giáo viên Toán, Trường THPT Ban Mai (Hà Đông, Hà Nội) cho biết:
Đề thi gồm 50 câu hỏi trắc nghiệm với thời gian làm bài là 90 phút. Nội dung kiến thức chủ yếu nằm trong chương trình Toán 12 và tỉ lệ nhỏ kiến thức lớp 11. Các câu trong đề thi thuộc các chủ đề: Đạo hàm và ứng dụng; Mũ-logarit; Nguyên hàm-tích phân-ứng dụng; Số phức; Khối đa diện; Khối tròn xoay; Hình Oxyz; Dãy số (cấp số cộng; cấp số nhân); Tổ hợp xác suất; Góc-khoảng cách trong không gian. Ma trận của đề thi như sau:
| Lớp | Mức độ Chủ đề | Nhận biết | Thông hiểu | Vận dụng | Vận dụng cao |
| Lớp 12 | Đạo hàm và ứng dụng | 5 | 3 | 1 | 1 |
| Mũ-logarit | 2 | 4 | 1 | 1 | |
| Nguyên hàm-tích phân-ứng dụng | 2 | 3 | 1 | 1 | |
| Số phức | 2 | 1 | 2 | ||
| Khối đa diện | 2 | 1 | |||
| Khối tròn xoay | 1 | 2 | 1 | ||
| Hình Oxzy | 4 | 2 | 1 | 1 | |
| Lớp 11 | Tổ hợp xác suất | 1 | 1 | ||
| Dãy số (CSC-CSN) | 1 | ||||
| Góc và khoảng cách trong không gian | 1 | ||||
| Số câu | 50 câu | 21 | 16 | 7 | 6 |
| Tỉ lệ | 100% | 42% | 32% | 14% | 12% |
Các câu thuộc mức độ nhận biết, thông hiểu chiếm 74%, vận dụng và vận dụng cao chiếm 26%. So với đề minh họa, đề thi chính thức có tỉ lệ các câu ở mức độ vận dụng , vận dụng cao nhiều hơn. Các câu khó rơi vào các chủ đề: Đạo hàm và ứng dụng, Mũ-logarit, Số phức, Hình Oxyz.
Mặc dù tỉ lệ các câu hỏi ở mức độ dễ khá cao, nhưng ở một số câu nếu thí sinh không đọc kĩ đề rất dễ chọn sai đáp án.
Dự đoán điểm từ 6,6-7,2 chiếm tỉ lệ nhiều, số lượng thí sinh đạt điểm cao sẽ không nhiều so với năm ngoái.
Hiếu Nguyễn
Đề thi môn Toán bám sát đề thi tham khảo, phù hợp với điều kiện học tập của học sinh
Thầy Lê Phong Phú, giáo viên môn toán của THPT Châu Văn Liêm (quận Ninh Kiều, TP Cần Thơ) cho biết: Đề thi môn Toán năm nay bám sát đề thi tham khảo, phù hợp với điều kiện vừa học vừa phòng chống dịch bệnh Covid-19, phù hợp với lộ trình đổi mới phương pháp giảng dạy và kiểm tra đánh giá, đáp ứng tốt cho việc xét tốt nghiệp THPT và xét tuyển vào các trường Cao đẳng, Đại học.
Đặc biệt, góp phần làm giảm áp lực cho việc học toán và dạy toán, điều này cũng sẽ giúp cho học sinh có thêm nhiều thời gian hơn để rèn luyện kỹ năng mềm, phát triển năng khiếu bản thân, từ đó sẽ tạo được môi trường giáo dục hiện đại phù hợp với xu thế chung của thế giới, tạo tiền đề cho việc thực hiện thành công chương trình giáo dục phổ thông 2018.
![]() |
| Kết thúc buổi thi thứ hai, đa số các em học sinh ra về với tâm trạng vui vẻ, thoải mái |
Về cấu trúc của đề thi: Đề thi có cấu trúc quen thuộc gồm 50 câu hỏi dạng trắc nghiệm khách quan (TNKQ), thời gian làm bài 90 phút (không kể thời gian phát đề), được sắp xếp theo thứ tự từ dễ đến khó dần, trong đó Hình học chiếm 32%, còn lại 68% là Đại số-Giải tích.
Có 24 mã đề thi khác nhau nhưng tương đương với nhau; trong một phòng thi mỗi thí sinh làm bài trên một đề có mã đề khác nhau. Kiến thức ở lớp 12 chiếm 90% (45 câu), còn lại chủ yếu là lớp 11 (10%-5 câu), không có bài toán thực tế.
Về độ khó, dễ của đề thi:
+ Câu hỏi mức độ nhận biết-dễ (dạng công thức, áp dụng trực tiếp công thức, lí thuyết như bài học): có 10 câu x 0,2 điểm = 2,0 (điểm). Phần này chỉ cần học thuộc bài, không cần suy luận, tính toán.
+ Câu hỏi mức độ thông hiểu - trung bình (dạng tương tự như đã được học): 25 câu x 0,2 điểm = 5,0 (điểm). Nội dung này chỉ yêu cầu hiểu bài, tính toán, suy luận đơn giản, tình huống như đã được học trên lớp.
Hai phần này (từ Câu 1 đến Câu 35) học sinh sẽ không gặp khó khăn khi làm bài và sẽ không khó để đạt được mức điểm từ 5,0-7,0 và chống bị điểm liệt.
+ Câu hỏi ở mức độ vận dụng, vận dụng cao-khó (đòi hỏi có sự phân tích, tổng hợp, kiến thức thực tế, nội môn, liên môn): 15 câu x 0,2 điểm = 3,0 (điểm).
Phần này (từ Câu 36 đến Câu 50, mức độ khó không sắp xếp theo thứ tự) có tính chất phân loại, dành cho học sinh có năng khiếu về toán, sử dụng điểm môn Toán để xét tuyển vào các nhóm ngành có sự cạnh tranh cao của các trường Đại học. Trong đó, câu hỏi ở mức độ vận dụng là 10 câu (20%-2,0 điểm) và vận dụng cao là 05 câu (10%-1,0 điểm).
Như vậy, một học sinh chuyên cần bình thường có thể đạt được mức điểm từ 5,0 đến 7,0 điểm; học sinh khá, giỏi có thể đạt được mức điểm 8,0 đến 9,0 điểm; còn với mức điểm trên 9,0 điểm chỉ có những học sinh chuyên toán hoặc có năng khiếu về toán cộng với sự khổ luyện cũng như yếu tố may mắn mới có thể đạt được!
Trường Tiến
Đề thi môn Toán có tính phân loại tốt hơn
Các thầy cô Tổ Toán – Hệ thống giáo dục Hocmai nhận định đề thi môn Toán có nội dung kiến thức bám sát cấu trúc và dạng thức của đề thi tham khảo với 50 câu hỏi, thời gian làm bài 90 phút. Trong đó, 90% câu hỏi (45 câu) thuộc chương trình của lớp 12 và 10% số câu hỏi (5 câu) thuộc chương trình lớp 11. Các câu hỏi vận dụng cao đều thuộc chương trình lớp 12 ở các chuyên đề quen thuộc.
Về độ khó của đề thi: So với Đề thi tham khảo năm 2022 và đề thi năm 2021, đề thi chính thức môn Toán năm 2022 có tính phân loại tốt hơn. 38 câu đầu ở mức độ nhận biết/thông hiểu hoàn toàn không làm khó thí sinh. Các câu còn lại ở mức độ vận dụng/vận dụng cao và mang tính phân loại thí sinh và đều thuộc kiến thức lớp 12 ở các chủ đề Số phức, hàm số, mũ – logarit, hình Oxyz và tích phân.
Ngoài ra, đề thi cũng có sự thay đổi về tỉ lệ câu hỏi giữa các chuyên đề của học kì I và học kì II lớp 12 so với đề thi năm 2021 theo hướng tăng các câu hỏi của Học kì 2. Điều này hoàn toàn hợp lí trong điều kiện bối cảnh học sinh được quay trở lại học trực tiếp tại trường sau thời gian học trực tuyến kéo dài và gián đoạn.
Ma trận đề thi tốt nghiệp THPT môn Toán năm 2022 như sau
| Lớp | Chuyên đề | Nhận biết – Thông hiểu | Vận dụng | Vận dụng cao | Tổng | Tỉ lệ % |
| Lớp 11 | Tổ hợp - Xác suất | 2 | 0 | 0 | 2 | 10% |
| Cấp số cộng - Cấp số nhân | 1 | 0 | 0 | 1 | ||
| Hình không gian (khoảng cách - góc) | 2 | 0 | 0 | 2 | ||
| Lớp 12 | Hàm số | 8 | 1 | 1 | 10 | 90% |
| Mũ - Logarit | 5 | 1 | 1 | 7 | ||
| Hình không gian (bài toán thể tích) | 2 | 1 | 0 | 3 | ||
| Khối tròn xoay | 2 | 1 | 0 | 3 | ||
| Nguyên Hàm - Tích phân | 6 | 1 | 1 | 8 | ||
| Số phức | 4 | 1 | 1 | 6 | ||
| Hình học Oxyz | 6 | 1 | 1 | 8 | ||
| Tổng | 38 | 7 | 5 | 50 | 100% | |
Tóm lại, đề thi bám sát đúng yêu cầu của việc xét công nhận tốt nghiệp và tình hình học tập của học sinh trong bối cảnh đại dịch Covid-19 kéo dài vừa có độ phân hóa tốt cho việc xét tuyển Đại học. Với đề thi này, đỉnh của phổ điểm sẽ dao động ở mức 7-8 điểm, số lượng điểm 10 sẽ không nhiều.
Hiếu Nguyễn
Đề có sự phân hóa tốt, học sinh làm trọn vẹn không phải là đơn giản
Thầy Dương Văn Hạnh – GV dạy Toán, Trường THPT Hàm Rồng, TP Thanh Hóa, nhận xét đề Toán.
“Đề Toán năm nay sát với đề minh họa của Bộ GD&ĐT đã ra. Bởi, 38 câu đầu tiên là rất nhẹ nhàng, các thí sinh có thể làm được 38 câu đầu thoải mái, vui vẻ. Còn lại 12 câu cuối bắt đầu có sự phân hóa tốt.
Theo tôi nhận định, mức độ nhận biết và dễ của 38 câu đầu, thì tất cả thí sinh ở các vùng miền đều có thể giải quyết vấn đề ổn thỏa. Còn 12 câu cuối là có sự vận dụng cao, thì tôi đánh giá cũng sát với đề minh họa mà Bộ đã ban hành trước đó. Bởi lẽ, khi dạy thì chúng tôi cũng đã ôn tập cho các em khá kỹ.
![]() |
| Thầy Dương Văn Hạnh – GV dạy Toán, Trường THPT Hàm Rồng, TP Thanh Hóa. |
Tất nhiên, để học sinh mà làm hết được trọn vẹn cả 50 câu đều đúng, thì tôi nghĩ là rất khó, bởi sự phân hóa của đề.
Còn so sánh với đề năm ngoái (2021), thì cũng tương tự như thế. Vì có sự phân hóa mức độ khó, tính phân hóa đảm bảo. Do đó, phổ điểm của đề Toán năm nay, tôi nghĩ cũng tương tự như năm ngoái. Còn để học sinh mà làm hoàn chỉnh được toàn bộ các câu hỏi trong đề năm nay, thì không phải là đơn giản”.
Báo cáo nhanh từ Hội đồng thi Sở GD&ĐT Thanh Hóa, chiều nay (7/7), có 37.184 TS dự thi môn Toán (đạt 99,57%). Tại 74 Điểm thi, với 15.80 phòng thi đều không có TS vi phạm quy chế thi, cán bộ tham gia coi thi đầy đủ. Tình hình an ninh trật tự; cơ sở vật chất phục vụ thi tại Điểm thi được đảm bảo. Công tác bảo quản đề thi tại Điểm thi được an toàn, đúng quy định.
Thế Lượng
Dự kiến điểm 10 sẽ không nhiều
![]() |
| Cô Lê Phan Phương Ngọc, giáo viên Trường THPT Nguyễn Hữu Thọ. |
Nhận định về đề thi môn Toán, mã đề 108 Kỳ thi tốt nghiệp THPT năm 2022, cô Lê Phan Phương Ngọc, giáo viên Trường THPT Nguyễn Hữu Thọ (quận 4, TPHCM) cho biết, đề thi Toán kỳ thi tốt nghiệp THPT năm nay tương tự cấu trúc đề của Bộ Giáo dục và Đào tạo đã công bố trước đó.
Các câu hỏi từ 1 đến 38 khá cơ bản, ở mức nhận biết, thông hiểu.Từ câu 39 trở đi ở mức vận dụng trong đó khoảng 5 câu nâng cao, phân loại được trình độ học sinh khá rõ. Đây là những câu hỏi mang tính phân hoá học sinh.
Đề thi năm nay nhìn chung đảm bảo để học sinh xét tốt nghiệp, điểm 10 tối đa sẽ không nhiều.
Hồ Phúc
Đề thi Toán có độ phân hóa rõ ràng
Thầy giáo Nguyễn Phan Tiến, giáo viên luyện thi môn Toán tại Hà Nội, nhận xét đề thi môn Toán chiều nay có độ phân hóa rõ ràng. Trong tổng số 50 câu hỏi, 38 câu là các dạng bài quen thuộc, không đánh đố, phù hợp với kỳ thi tốt nghiệp THPT năm 2022.
![]() |
| Thầy giáo Nguyễn Phan Tiến. Ảnh: NVCC. |
Các dạng câu hỏi trong đề thi tương đối giống với cấu trúc đề minh họa năm 2022 do Bộ GD&ĐT ban hành. Tuy nhiên, đề thi phát triển thêm một số câu hỏi về Cực trị hàm số, Hình nón, Tính diện tích hình phẳng, Cực trị số phức.
Một số câu hỏi dễ nhưng vẫn đặt ở vị trí 45, 46 (trong mã đề thi 110) chứng tỏ học sinh phải biết chọn lọc, sắp xếp thời gian chọn lựa câu dễ làm trước, khó làm sau.
Các câu hỏi phân loại có độ khó tốt. Để đạt điểm 8 với đề thi này không quá khó nhưng nếu muốn giành 9 hoặc trên 9, thí sinh phải nắm chắc kiến thức và vận dụng rất tốt. 5 câu hỏi cuối về Mũ - logarit, Hình Oxyz, Số phức, Tích phân là những câu hỏi có độ phân hóa mạnh.
Nhìn chung, với đề thi Toán năm nay, thầy Tiến cho rằng mức phổ điểm sẽ dao động từ 7-8 điểm, trong đó đỉnh phổ điểm nằm ở mức 7 điểm. Đề có tính phân loại tốt, nhiều câu hỏi hay và lạ nên để đạt từ 8 điểm trở lên, thí sinh cần học bản chất, hiểu sâu lý thuyết. Từ 9 điểm trở lên là những thí sinh có học lực giỏi, xuất sắc.
Phạm Khánh
Đề thi mang tính chất phân hóa rất cao
Nhận định về đề thi môn Toán, mã đề 115 Kỳ thi tốt nghiệp THPT năm 2022, thầy Phạm Duy Luân, giáo viên trường THCS-THPT Đào Duy Anh, quận Tân Phú: Đề thi không có nhiều thay đổi về cấu trúc với đề minh họa 2022 và đề thi năm 2021, tuy nhiên, mức độ phân loại học sinh rõ rệt.
Về cấu trúc, đề thi gồm 50 câu hỏi với thời gian 90 phút, trong đó tầm 37 câu là ở mức độ nhận biết, thông hiểu, nhưng đòi hỏi học sinh cần đọc kỹ đề để tránh “mắc lừa” câu hỏi, từ câu 38 trở đi là những câu thuộc mức độ vận dụng. Nhìn chung đề thi cũng bám sát đề minh họa, số lượng câu hỏi nhận biết, thông hiểu không thay đổi.
Kiến thức của đề nằm trong chương trình lớp 12, chương trình lớp 11 có các câu liên quan đến cấp số nhân, chỉnh hợp, xác suất, khoảng cách và góc trong không gian. Các câu hỏi vận dụng cao trải đều ở các chuyên đề hàm số, ứng dụng diện tích hình phẳng, hàm số mũ-logarit, số phức và hình học tọa độ Oxyz.
Câu 44 thuộc mức vận dụng cao có nét mới nhưng không lạ vì cũng xuất hiện nhiều trong đề thi thử, là sự kết hợp của hai chương hàm số và tích phân ứng dụng,…
Đề thi mang tính chất phân hóa rất cao, đối với học sinh trung bình thì có thể đạt 5 đến 6 điểm, các học sinh khá thì có thể 7 đến 8 điểm, nhưng ở mức độ 9 đến 10 điểm thì đòi hỏi phải kỹ năng và tư duy nhanh. Với đề thi năm nay số điểm 9 đến 10 sẽ ít hơn năm ngoái nhiều.
Hồ Phúc
Đề thi môn Toán có phần phân hoá giữa các mức độ khá rõ.
Nhận xét về mã đề 110 đề thi môn Toán, thầy Phan Quốc Duy - Phó Hiệu trưởng Trường THPT Nguyễn Trãi (Đà Nẵng) cho biết: Đề thi có phần phân hoá giữa các mức độ khá rõ. Các câu hỏi bao quát chương trình, tránh học tủ. Phần nhận biết chiếm khoảng 50% số câu hỏi của đề.
Các nội dung kiến thức chủ yếu tập trung ở lớp 12, phần kiến thức lớp 11 có 5 câu: câu 6 (cấp số), câu 20 (Tổ hợp) ở mức độ nhận biết, câu 32, 36 (Hình học không gian), câu 38 (Xác suất) ở mức độ thông hiểu. Các câu hỏi trong đề thi được xếp tương đối từ dễ đến khó, theo chương và giống cấu trúc đề minh họa. Đây là một điều kiện thuận lợi lớn cho thí sinh trong điều kiện dịch bệnh trong hai năm qua, khi thời gian học sinh học trực tiếp rất ít.
Theo thầy Phan Quốc Duy, 28 câu đầu khá đơn giản ở mức độ nhận biết và thông hiểu, học sinh trung bình dễ dàng lấy được điểm 5. Ở mức độ thông hiểu, từ câu 29 đến câu 38, một số câu như câu 29, 31, 32, 38 có mức độ hơi cao so với năm trước, học sinh khá sẽ mất thời gian và phải làm cẩn thận mới có khả năng làm trọn vẹn 7,6 điểm. Các câu từ 39 đến 50 ở mức độ vận dụng và vận dụng cao, trong đó một số câu theo cấu trúc các đề gần đây và đề minh hoạ, dạng toán khá quen thuộc với học sinh giỏi, luyện nhiều đề.
Có 1 số câu khó như các câu 43, 45 về số phức yêu cầu thí sinh phải có kĩ năng rất tốt về biến đổi các phép toán kết hợp hình học toạ độ lớp 10; câu 47 về chương hàm số kết hợp tích phân; câu 49 hình học giải tích đòi hỏi các em phải có kiến thức tổng hợp về hình học; câu 50 học sinh cần nắm được phương pháp tìm cực trị của hàm trị tuyệt đối và các kiến thức, kĩ năng tìm cực trị của hàm có chứa giá trị tuyệt đối.
Ánh Ngọc
![]() |
| Thầy Đinh Văn Vang - Giáo viên môn Toán Trường THPT C Hải Hậu (tỉnh Nam Định) cho rằng đề Toán có độ phân hóa cao. |
Thầy Đinh Văn Vang - Giáo viên môn Toán Trường THPT C Hải Hậu (tỉnh Nam Định) cho biết, đề chính thức môn Toán thi tốt nghiệp THPT năm 2022 được ra bám sát đề minh họa. Đề có cấu trúc và nội dung phù hợp, vừa sức các thí sinh. Các nội dung thuộc chương trình lớp 11 khá cơ bản, bám sát sách giáo khoa. Đề năm nay có tính phân loại cao hơn so với đề chính thức của năm 2021.
Cũng theo thầy Vang, các câu hỏi vận dụng cao ngoài các câu quen thuộc về số phức, hình học không gian, hình giải tích còn có 1 số câu hỏi mới hay về cực trị, diện tích hình phẳng. Điều này đòi hỏi các thí sinh phải rất chắc kiến thức, kỹ năng để vận dụng, sáng tạo trong cả ba năm bậc THPT mới có thể làm tốt được.
"Với cấu trúc đề của năm nay, học sinh học lực trung bình có thể đạt được 5-6 điểm. Đề năm nay có độ phân hóa thí sinh cao hơn năm ngoái. Nhiều câu hỏi đòi hỏi thí sinh phải tư duy tốt mới làm hết được bài trong thời gian quy định. Về mặt hình thức, đề năm nay đã được trau chuốt một cách ngắn gọn mà vẫn đảm bảo đủ nội dung và yêu cầu phần loại, không dài dòng để phù hợp với lối thi trắc nghiệm khách quan. Cách ra đề lần này cũng phù hợp với mục tiêu của kỳ thi là vừa để xét tốt nghiệp THPT, vừa để làm căn cứ cho các trường ĐH, CĐ xét tuyển" - thầy Vang nói thêm.
Đình Tuệ
Đề môn Toán sát với đề cương ôn tập
![]() |
| Cô Hoàng Thị Hoa (áo vàng) giáo viên môn Toán trường THPT huyện Mường Tè (Lai Châu). |
Chiều 7/7, hơn 2.500 thí sinh tỉnh Lai Châu đã hoàn thành môn thi Toán. Nhận định về đề thi Toán, Mã đề 108, cô Hoàng Thị Hoa, Giáo viên Toán, trường THPT huyện Mường Tè (Lai Châu) cho rằng: “Đề thi năm nay không có nhiều thay đổi về cấu trúc với đề minh họa. Nội dung đề cũng sát với đề cương, chương trình mà nhà trường ôn tập cho học sinh”.
Theo cô Hoa, từ câu 1 đến câu 38 thuộc phần nhận biết, thông hiểu. Những học sinh nắm vững kiến thức cơ bản có thể làm tốt. Còn từ câu 39 đến câu 50 thuộc phần vận dụng và vận dụng nâng cao đòi hỏi học sinh phải tư duy mới làm được.
Đối với các thí sinh chỉ xét tốt nghiệp, có thể dễ dàng đạt từ 5 – 6 điểm. Bởi đa phần kiến thức của đề nằm trong chương trình lớp 12. Ngoài ra, một số kiến thức của lớp 11 liên quan đến mấy câu nhận biết, thông hiểu, học sinh có thể đạt điểm.
Hà Thuận
Học sinh nắm vững kiến thức có thể đạt 7 điểm
![]() |
| Thí sinh Kon Tum rạng ngời bước vào Kỳ thi tốt nghiệp THPT 2022. |
Thầy Lê Thiên Thịnh, giáo viên Toán trường PTDTNT huyện Đăk Glei (Kon Tum) nhận xét đề Toán trong Kỳ thi tốt nghiệp THPT 2022 tương đương so với những năm trước.
Thầy Thịnh cho hay, 50 câu hỏi trắc nghiệm trong đề thi môn Toán bám sát vào ma trận đề và bộ đề tham khảo của Bộ GD&ĐT.
Theo thầy Thịnh, 35 câu đầu là phần kiến thức vận dụng thấp. Nếu học sinh nào nắm vững kiến thức trên trường lớp và SGK thì có thể làm được khoảng 40 câu và lấy điểm tối đa cho những câu hỏi này. Riêng 10 câu còn lại có tính phân hoá, dành cho những học sinh Khá, Giỏi.
“Nếu học sinh nắm chắc kiến thức có thể làm được khoảng trên 35 câu và dành được 7 điểm”, thầy Thịnh nói.
Cũng theo thầy Thịnh, những nội dung có câu hỏi khó liên quan đến mô đun số phức, ứng dụng tích phân, cực trị của hàm số, không gian toạ độ mặt cầu, khoảng cách điểm đến mặt phẳng.
"Nếu muốn đạt điểm số cao, tối đa đòi hỏi thí sinh phải trau dồi kiến thức, giải nhiều đề Toán, bài tập dạng vận dụng cao", thầy Thịnh chia sẻ.
Dung Nguyễn
Đề Toán phân hóa cao các trường ĐH,CĐ yên tâm dùng kết quả để xét tuyển
Cô Trần Thị Luyến, giáo viên môn Toán, Trường THPT Hương Khê (huyện Hương Khê, tỉnh Hà Tĩnh) đánh giá: Đề thi môn Toán hay, có độ phân hóa cao cho từng đối tượng học sinh trong kỳ thi tốt nghiệp THPT.
![]() |
| Cô Trần Thị Luyến, giáo viên môn Toán, Trường THPT Hương Khê (huyện Hương Khê, tỉnh Hà Tĩnh). |
Đề bám sát đề minh họa trước đó Bộ GD&ĐT đã công bố, do đó học sinh sẽ không bị bỡ ngỡ hay lo lắng trước ma trận đề. Tuy nhiên độ khó của đề chính thức nhỉnh hơn.
Với đề này, học sinh khá, giỏi sẽ dễ dàng làm được 6 điểm trong thời gian ngắn.
Bắt đầu từ điểm 7 là đề thi bắt đầu nâng dần độ khó lên, đòi hỏi thí sinh phải phân bố thời gian làm bài. Lúc này, độ phân hóa học sinh bắt đầu.
Một điểm nữa mà cô Luyến đánh giá chính là độ hay của đề năm nay đòi hỏi thí sinh phải nắm chắc kiến thức, mới có hội đạt điểm cao. Đối với mức điểm từ 8 trở lên, đề càng cho thấy được sự độ phân hóa năng lực của học sinh.
Cũng theo cô Luyến, theo như quá trình thực tế dạy học, nếu học sinh học máy móc điểm cao sẽ rất khó. Với đề này yêu cầu học sinh phải nắm kiến thức chắc, có tư duy tốt thì mới có cơ hội lấy điểm cao.
Học sinh có học lực trung bình sẽ lấy được tầm 6 điểm đến 6,6 điểm và không quá khó để lấy được 4 đến 5 điểm.
7,5 đến 8 điểm là mức điểm với học sinh khá, còn muốn vượt lên mức 8 thì thí sinh đó phải giỏi trờ lên.
"So đề thi năm 2021, thì đề thi năm nay độ phân hóa cao hơn. Đồng thời mức độ đòi hỏi yêu cầu học sinh phải nắm kiến thức chắc, tính toán nhanh và biết phân bố thời gian làm bài khoa học.
Những câu hỏi cuối đề yêu cầu rất cao, chính là những câu tìm ra học sinh xuất sắc.
Tóm lại theo đánh của tôi, đề hay, độ phân hóa cao do đó các trường đại học, cao đẳng có thể yên tâm dùng kết quả để xét tuyển", cô Luyến chia sẻ.
Ngô Chuyên
Dự kiến phổ điểm chủ yếu sẽ tầm 7,5 điểm
Phân tích cụ thể đề thi tốt nghiệp THPT năm 2022, mã đề 122, thầy Nguyễn Công Chính - GV Tuyensinh247.com nhận định: Đề năm nay có sự tương đồng về cấu trúc nhưng mức độ khó hơn với đề thi tốt nghiệp THPT năm 2021.
Học sinh dễ dàng giải quyết 35 - 38 câu đầu. Những câu khó hơn nằm ở phía sau, từ câu 39 đến câu 50 và có sự khác biệt so với đề minh họa. Đặc biệt những câu vận dụng cao là từ 44 - 50 và thấy có sự mới lạ.
Đề có nhiều câu có thể nhìn đề và chọn được đáp án nhanh chóng. Để được điểm cao, thí sinh cần có tư duy linh hoạt và thực sự chắc chắn kiến thức, luyện đề nhiều.
Với đề thi này, phổ điểm chủ yếu sẽ là tầm 7,5 điểm, tương đương và có thể thấp hơn so với năm 2021. Học sinh trung bình được khoảng 7 - 7,5 điểm. Học sinh khá được khoảng 7,5 - 9 điểm. Dự đoán số điểm 8-8,5 tương đối nhiều. Học sinh giỏi hoàn toàn có thể đạt 9 - 10 điểm nhưng dự kiến số điểm 10 sẽ không nhiều và không dễ dàng
Về cấu trúc: Phạm vi ra đề bao gồm cả kiến thức lớp 12 và 11, trọng tâm là kiến thức lớp 12:
| Lớp | Số câu |
| 12 | 45 |
| 11 | 5 |
| Giao thoa 10 và 12 | 0 |
| Giao thoa 11 và 12 | 0 |
| TỔNG | 50 |
Ma trận đề thi về nội dung như sau:
| Chuyên đề | Số câu |
| Ứng dụng của đạo hàm để khảo sát và vẽ đồ thị hàm số | 0 |
| Hàm số lũy thừa - Hàm số mũ - Hàm số logarit | 0 |
| Nguyên hàm - Tích phân - Ứng dụng | 0 |
| Số phức | 0 |
| Khối đa diện | 0 |
| Mặt nón - Mặt trụ - Mặt cầu | 0 |
| Phương pháp tọa độ trong không gian | 0 |
| Đường thẳng và mặt phẳng trong không gian. Quan hệ song song | 0 |
| Quan hệ vuông góc | 0 |
| Hàm số lượng giác và phương trình lượng giác | 0 |
| Tổ hợp - Xác suất | 0 |
| Dãy số - Cấp số cộng - Cấp số nhân | 0 |
| Giới hạn - Đạo hàm | 0 |
| Giao thoa kiến thức lớp 10 + 12 | 0 |
| Giao thoa kiến thức lớp 11 + 12 | 0 |
| TỔNG | 0 |
Về mức độ câu hỏi:
| Mức độ | Số câu |
| Nhận biết | 0 |
| Thông hiểu | 0 |
| Vận dụng | 0 |
| Vận dụng cao | 0 |
| TỔNG | 0 |
Để làm tốt đề thi này, học sinh cần ôn tập thật tốt tất cả các phần kiến thức lớp 11 và 12 vì đề thi trải khá đều và rộng. Thí sinh cần làm thật nhanh và chắc chắn các câu hỏi ở mức độ nhận biết, thông hiểu trong đề thi. Thành thạo các dạng bài đã có phương pháp làm cụ thể để không mất quá nhiều thời gian suy nghĩ cho những câu hỏi đó, dành thời gian cho những câu hỏi yêu cầu tư duy cao. Vận dụng các kỹ năng sử dụng máy tính cầm tay để rút ngắn thời gian làm bài.
Hiếu Nguyễn
Đề Toán quen thuộc nhưng phân hóa cao, khó có mưa điểm 10
Thầy Đỗ Văn Bình – giáo viên Toán Trường THPT Hoàng Mai (thị xã Hoàng Mai), nhận định, đề năm nay phù hợp đúng cấu trúc đề minh họa của Bộ GD&ĐT, và nằm trong phạm vi kiến thức chương trình sách giáo khoa. Vì thế, chắc chắn các dạng câu hỏi trong đề các em đã được làm quen, và ôn tập trong thời gian học ở trường.
Từ câu 1 đến câu 35, là phạm vi mức độ đề dành cho những em thi để xét tốt nghiệp THPT, rơi vào mức độ nhận biết, thông hiểu. Tuy nhiên, trong phần câu hỏi này, mức độ nhận biết có vẻ “rắn” hơn so với đề thi thử trước đó. Ví dụ câu 1 của mã đề 106 hỏi về thể tích khối trụ và khối chóp. Bản chất câu hỏi không khó, và đúng là mang tính nhận biết. Nhưng đã nghiêng sang phần thông hiểu một chút. Vì vậy, những em học non có thể sẽ cảm thấy khó hơn so với những đề và các em làm quen, tự luyện tập ở nhà.
![]() |
| Thí sinh Nghệ An rời khỏi phòng thi sau môn Toán chiều ngày 7/7 |
Phần từ câu 35 trở đi đến 40 là các câu bắt đầu sang phần vận dụng, nhưng chưa phân hóa cao, và học sinh học lực khá, ôn tập đầy đủ có thể xử lý được. Riêng câu 40 đến câu 50 độ phân hóa mạnh. Trong đó, 3 câu phân hóa mạnh nhất là câu hình học, tọa độ không gian Oxyz, sau đó là câu số phức, hàm số mũ và hàm số logarit. Trong đó “câu chốt” chính là câu tọa độ Oxyz. Những câu này phải là những em học rất giỏi Toán, thông minh, rèn luyện nhiều, tốc độ xử lý bài nhanh mới có thể làm được.
Với đề thi Toán năm nay, thầy Bình nhận xét có mức độ phân hóa rõ ràng cho từng nhóm học sinh, đạt 2 mục tiêu vừa xét tốt nghiệp THPT, vừa lấy kết quả xét tuyển đại học. Số thí sinh đạt điểm 10 tuyệt đối sẽ không nhiều.
Tương tự, thầy Nguyễn Hữu Thanh – Trường THPT Bắc Yên Thành cũng đánh giá, 50 câu hỏi của đề Toán năm nay nằm hoàn toàn trong chương trình SGK, bám sát đề thi minh họa của Bộ GD&ĐT.
Các dạng Toán này, giáo viên phụ trách ôn thi môn Toán của các trường THPT chắc chắn đã dạy ôn luyện kỹ càng, nhiều lần cho học sinh từ mức độ nhận biết cho đến thông hiểu, vận dụng và vận dụng cao. Bên cạnh đó, các dạng Toán này cũng được ra nhiều trong đề thi thử, ngân hàng đề thi do tổ bộ môn Toán xây dựng. Vì vậy, học sinh nhận đề sẽ thấy “quen thuộc” và tạo tâm lý tự tin khi làm bài.
Với đề thi này, học sinh đại trà sẽ không quá vất vả để kiếm 5 – 6 điểm. Đối với học sinh đại trà, học làm 5-6 điểm không quá vất vả.
Còn học sinh khá, nắm vững kiến thức cơ bản, có quá trình ôn tập nghiêm túc, chăm chỉ, có định hướng dùng kết quả môn thi Toán để xét tuyển đại học, thì sẽ làm được 70%, tức là đến khoảng câu 37-38.
Điều đặc biệt ở đề thi này, là mức độ vận dụng và vận dụng cao, các dạng Toán đều quen, câu hỏi rõ ràng, không đánh đố. Tuy nhiên, thí sinh sẽ phải mất khá nhiều thời gian, đặt bút ra giải toán để tìm đáp án chính xác. Nhất là 5 câu hỏi ở mức độ vận dụng cao quét hết toàn bộ chương trình giải tích và hình học lớp 12, bao gồm số phức, tọa độ không gian Oxyz, hàm số mũ, logarit. Có thể về phương pháp, định hướng giải câu hỏi, thí sinh sẽ xác định được, nhưng do mất thời gian nên sẽ có em thấy tiếc vì không đủ thời gian làm bài. Khả năng phán đoán để trả lời đúng là không có. Các em sẽ phải trả lời nhanh, đúng ở các câu hỏi trước và dành thời gian cho nhóm câu hỏi cuối này. Nhưng tâm lý thí sinh thi môn Toán sẽ cẩn trọng để làm tới đâu chắc đúng tới đó, không vội vàng. Phần lớn học sinh chỉ có thể giải quyết được 2 – 3 câu hỏi trong số 5 câu hỏi vận dụng cao.
Thầy Nguyễn Hữu Thanh nhận định, đề Toán năm nay là đề thi rất tốt và hay, đạt được mục tiêu xét Tốt nghiệp THPT và lấy điểm. Với đề thi này, phổ điểm 8-9 sẽ nhiều, nhưng để đạt điểm 10 thì khó và chắc chắn không có mưa điểm 10.
Hồ Lài
Giáo viên rút được kinh nghiệm giảng dạy từ đề thi Toán
Nhận xét về đề thi toán thầy giáo Nguyễn Mạnh Hà (GV Toán, trường THPT Nguyễn Văn Trỗi, Lộc Hà, Hà Tĩnh) cho rằng, đề thi tốt nghiệp THPT năm 2022 có khó hơn so với đề thi tham khảo và đề thi tốt nghiệp THPT năm 2021.
Khó ở hai khía cạnh, một là mức độ kiến thức phần trước câu 35 được nâng lên, có những kiến thức ít được để ý đến đã xuất hiện trong đề thi năm nay ví dụ câu 8, câu 15, câu 19 ở mã đề 104.
![]() |
| Thí sinh Hà Tĩnh trao đổi bài sau khi kết thúc môn toán. |
Hai là cách hỏi của đề có phần lạ, học sinh dễ mắc sai sót ví dụ câu 36, 40, 41, 46,49 mã đề 104 và một số câu khác. Ngoài ra, phần kiến thức lớp 11 cũng được nâng lên so với một số năm gần đây.
"Để đạt được điểm cao đòi hỏi học sinh phải nắm chắc đầy đủ các kiến thức cơ bản, có năng lực mô hình hóa toán học tốt. Bản thân giáo viên qua đây cũng cần rút ra kinh nghiệm cho quá trình giảng dạy là dạy kỹ các kiến thức cơ bản sách giáo khoa.
Đặc biệt là các kiến thức lâu nay ít để ý đến, không rập khuôn máy móc, phát huy tốt các năng lực và khả năng vận dụng kiến thức của học sinh để giải quyết các tình huống không chỉ là ở trong các đề thi mà quan trọng hơn là trong thực tiễn", thầy Hà chia sẻ.
Phương Hồ












Đề thi môn Toán phân loại được từng đối tượng học sinh
Theo đánh giá của thầy giáo Nguyễn Quang Thi - Trường THPT Bảo Lộc, Lâm Đồng: Đề thi môn Toán năm nay có số lượng câu khó tương đương năm 2021 và được phân đều cho các chủ đề.
Các dạng câu hỏi trong đề thi không có gì lạ nhưng vẫn phân loại được từng đối tượng học sinh.
Thầy giáo Nguyễn Quang Thi - Trường THPT Bảo Lộc, Lâm Đồng.
Đối với mã đề 115 có 35 câu đầu là cơ bản chỉ tái hiện kiến thức hầu như học sinh nào cũng làm được. Từ câu 36 trở đi có tính toán nhưng không phức tạp, có một chút suy nghĩ và lập luận thì làm được.
Đề thi có một số câu của chương trình lớp 11 như câu 27, câu 28, câu 34, câu 36 và câu 37 nhưng quen thuộc và học sinh nào cũng làm được.
Một số câu nâng cao để nâng loại học sinh là câu 41, câu 43, câu 44, câu 45, câu 47, câu 49 và câu 50.
Với những câu này là một xâu chuỗi kiến thức đòi hỏi học sinh biết lập luận, suy đoán, tính toán nhanh và biết loại trừ mới làm được.
Tóm lại, đề thi năm 2022 như vậy là phù hợp; học sinh trung bình và yếu làm được từ 5 điểm đến 6 điểm, học sinh khá làm được từ 6 điểm đến 8 điểm, học sinh giỏi làm được từ 8 điểm đến 9.4 điểm, còn lại dành cho học sinh xuất sắc.
Phổ điểm khoảng 7.0 đến 8.6 là nhiều và có điểm tuyệt đối với số lượng tương đương đợt I năm 2021.
Ngô Chuyên