Vận dụng kỹ thuật mảnh ghép trong dạy học môn Toán cho học sinh lớp 8

GD&TĐ - Nghiên cứu trình cơ sở lựa chọn nội dung dạy học bằng kỹ thuật mảnh ghép; đưa ra các nội dung có thể vận dụng phương pháp này trong dạy học môn Toán lớp 8...

Vận dụng kỹ thuật mảnh ghép trong dạy học môn Toán cho học sinh lớp 8

Trong bối cảnh Chương trình Giáo dục phổ thông 2018 nhấn mạnh yêu cầu đổi mới phương pháp dạy học theo hướng phát triển năng lực học sinh, việc vận dụng các kỹ thuật dạy học tích cực, đặc biệt là kỹ thuật mảnh ghép (Jigsaw) - một hình thức học tập hợp tác có hiệu quả cao trong việc phát triển năng lực giải quyết vấn đề của học sinh. Nghiên cứu này trình cơ sở lựa chọn nội dung dạy học bằng kỹ thuật mảnh ghép; đưa ra các nội dung có thể vận dụng phương pháp này trong dạy học môn Toán lớp 8. Đồng thời chúng tôi đề xuất một quy trình thiết kế hoạt động học tập, quy trình tổ chức dạy học bằng kỹ thuật mảnh ghép và ví dụ minh hoạ.

1. Mở đầu

Trong bối cảnh giáo dục hiện nay, yêu cầu chuyển từ dạy học tiếp cận nội dung sang phát triển phẩm chất và năng lực người học đã trở thành định hướng xuyên suốt của ngành giáo dục. Đặc biệt, Nghị quyết số 71-NQ/TW (2025) của Bộ Chính trị nhấn mạnh nhiệm vụ đổi mới phương pháp dạy học theo hướng phát huy tính tích cực, chủ động, sáng tạo của học sinh, đồng thời tăng cường các hình thức học tập hợp tác và tương tác xã hội nhằm đáp ứng yêu cầu của xã hội hiện đại. Định hướng chiến lược này được cụ thể hóa trong Chương trình Giáo dục phổ thông 2018, trong đó môn Toán giữ vai trò quan trọng trong việc hình thành tư duy logic, năng lực giải quyết vấn đề và khả năng vận dụng kiến thức vào thực tiễn.

Một trong những yêu cầu cốt lõi của chương trình môn Toán 2018 là tổ chức cho học sinh tham gia vào các hoạt động khám phá, phân tích, tranh luận và hợp tác để kiến tạo tri thức. Tuy nhiên, nhiều nghiên cứu và thực tiễn giảng dạy cho thấy học sinh trung học cơ sở, đặc biệt là lớp 8, thường gặp khó khăn khi tiếp cận các chủ đề có tính trừu tượng và yêu cầu suy luận cao như Giải hệ phương trình bậc nhất hai ẩn, Các tính chất của hình bình hành, Các hằng đẳng thức đại số, hay Bài toán có lời văn liên quan đến phương trình bậc nhất. Điều này đặt ra nhu cầu cấp thiết về việc lựa chọn và triển khai những kỹ thuật dạy học có khả năng phát huy vai trò chủ thể của học sinh, giúp các em tự tin xử lý thông tin, thảo luận và trình bày kết quả.

Trong số các mô hình dạy học hợp tác, kỹ thuật mảnh ghép (Jigsaw) – do Aronson khởi xướng từ năm 1978 – được xem là một phương thức đặc biệt hiệu quả vì tạo ra “trách nhiệm kép”: mỗi học sinh vừa phải nắm chắc phần kiến thức của mình để chia sẻ với nhóm, vừa phụ thuộc vào đóng góp của các thành viên khác để hoàn thiện bức tranh tri thức chung [1]. Nhiều công trình nghiên cứu quốc tế [2][3] và các nghiên cứu trong nước [4][5] đã chứng minh rằng dạy học hợp tác không chỉ nâng cao kết quả học tập mà còn góp phần hình thành năng lực giao tiếp, năng lực hợp tác và tư duy phản biện – những năng lực cốt lõi được yêu cầu trong Chương trình GDPT 2018.

Mặc dù vậy, các nghiên cứu tại Việt Nam mới chủ yếu đề cập đến lý thuyết hoặc quy trình chung của kỹ thuật mảnh ghép, chưa có nhiều công trình tập trung thiết kế cụ thể các hoạt động gắn trực tiếp với nội dung môn Toán lớp 8. Trong thực tế, giáo viên vẫn gặp khó khăn khi triển khai vì thiếu hệ thống bài học mẫu mang tính khả thi, phù hợp với từng chủ đề đặc thù như: phân tích hệ phương trình, suy luận hình học, nhận diện – vận dụng hằng đẳng thức, hay mô hình hóa bài toán có lời văn.

Chính vì vậy, bài báo này hướng tới cơ sở lý thuyết và thiết kế một số hoạt động dạy học theo kỹ thuật mảnh ghép dành cho học sinh lớp 8, các hoạt động được xây dựng trên cơ sở khoa học, đảm bảo tính phù hợp với yêu cầu cần đạt của Chương trình GDPT 2018, đồng thời đáp ứng định hướng đổi mới của Nghị quyết 71-NQ/TW. Bài báo kỳ vọng cung cấp tư liệu tham khảo thiết thực cho giáo viên, góp phần nâng cao chất lượng dạy học môn Toán theo hướng phát triển năng lực, tạo môi trường để học sinh được học tập tích cực, hợp tác và chủ động chiếm lĩnh tri thức.

2. Nội dung nghiên cứu

2.1. Kỹ thuật mảnh ghép (Jigsaw)

Lớp học mảnh ghép (Jigsaw classroom) là một kỹ thuật học tập hợp tác dựa trên nghiên cứu, được phát minh và phát triển vào đầu những năm 1970 bởi Elliot Aronson và các sinh viên của ông tại Đại học Texas và Đại học California [1]. Kĩ thuật mảnh ghép là cách thức tổ chức hoạt động học tập hợp tác trong đó học sinh sẽ hoàn thành một nhiệm vụ phức hợp qua hai vòng:

- Vòng 1: Nhóm chuyên gia

Lớp học được chia thành các nhóm, mỗi nhóm có khoảng từ 3 đến 6 học sinh sao cho số nhóm được chia bằng số nhiệm vụ được giao và số chuyên gia bằng hoặc lớn hơn số nhóm chuyên gia. Mỗi nhóm được giao một nhiệm vụ (có thể có nhóm cùng nhiệm vụ). Khi thực hiện nhiệm vụ học tập, nhóm phải đảm bảo mỗi thành viên đều trở thành “chuyên gia” của lĩnh vực đã tìm hiểu và có khả năng trình bày lại kết quả thực hiện nhiệm vụ của nhóm ở vòng 2.

- Vòng 2: Nhóm mảnh ghép

Hình thành nhóm mảnh ghép từ nhóm chuyên gia sao cho mỗi nhóm có tối thiểu một thành viên đến từ mỗi nhóm chuyên gia chia sẻ kiến thức với nhau (có thể nhiều hơn 1 chuyên gia cùng 1 nhiệm vụ ở mỗi nhóm mảnh ghép nhằm hỗ trợ nhau trong quá trình trình bày lại kết quả hoạt động ở vòng 1). Từng thành viên từ các nhóm “chuyên gia” trong nhóm “mảnh ghép” lần lượt trình bày lại nội dung tìm hiểu của nhóm mình. Đảm bảo tất cả thành viên trong nhóm “mảnh ghép” nắm bắt được đầy đủ toàn bộ nội dung của các nhóm chuyên gia giống như nhìn thấy một “bức tranh” tổng thể.

2.2. Thiết kế hoạt động học tập theo kỹ thuật mảnh ghép

2.2.1. Cơ sở lựa chọn nội dung dạy học theo phương pháp mảnh ghép

Trước hết, nội dung phải đảm bảo tính phân mảnh (fragmentability), nghĩa là có khả năng tách thành nhiều phần kiến thức tương đối độc lập mỗi phần tương ứng với một “vai trò chuyên gia” mà học sinh đảm nhiệm. Bên cạnh khả năng phân nhỏ, theo Vygotsky, 1978, “Nội dung phải thể hiện tính liên kết và tính hoàn thiện” [6]. Mặc dù các mảnh kiến thức được giao riêng biệt, toàn bộ bài học phải có cấu trúc logic, bổ sung lẫn nhau và chỉ thật sự hoàn chỉnh khi được “ghép” lại trong nhóm tổng hợp. Một yêu cầu quan trọng khác là tính cân bằng về dung lượng và độ khó của các mảnh kiến thức. Mỗi học sinh cần được giao một nhiệm vụ tương đương về mức độ phức tạp và lượng thông tin để duy trì sự công bằng, động lực và trách nhiệm cá nhân. Nghiên cứu của Johnson & Johnson (2009) cho thấy sự mất cân đối trong nhiệm vụ sẽ làm giảm mức độ tham gia, gây mất cân bằng quyền lực học thuật trong nhóm và cản trở hiệu quả hợp tác [2]. Ngoài ra, nội dung phải có tính thúc đẩy tương tác, tức là đủ mở, đủ đa chiều và đủ phức tạp để buộc học sinh trao đổi, giải thích và phản biện với nhau. Cuối cùng, việc lựa chọn nội dung phải gắn với mục tiêu phát triển năng lực theo Chương trình GDPT 2018. Trong chương trình mới, năng lực Giải quyết Vấn đề không chỉ giới hạn ở việc tìm được đáp án đúng mà còn bao gồm quá trình nhận diện vấn đề, xây dựng chiến lược giải, triển khai kế hoạch, kiểm tra và đánh giá kết quả. Những nội dung tạo cơ hội cho học sinh thực hiện trọn vẹn quy trình này sẽ đặc biệt phù hợp với Jigsaw, bởi tính chất hợp tác và phân vai của kỹ thuật giúp học sinh trải nghiệm đầy đủ các bước của quá trình giải quyết vấn đề.

2.2.2. Đề xuất các nội dung dạy học theo kĩ thuật mảnh ghép trong chương trình môb Toán lớp 8

Để phát huy ưu thế của phương pháp mảnh ghép (Jigsaw) trong dạy học Toán 8, cần lựa chọn những nội dung có cấu trúc rõ ràng, có thể chia thành các phần kiến thức tương đối độc lập nhưng vẫn gắn kết chặt chẽ khi tổng hợp. Bảng dưới đầy trình bày hệ thống các bài học/chủ đề trong chương trình Toán 8 có khả năng áp dụng hiệu quả kỹ thuật mảnh ghép (Jigsaw). Danh mục được lựa chọn dựa trên các tiêu chí:

- Nội dung có thể phân tách thành các tiểu phần kiến thức độc lập

- Tồn tại mối liên hệ nội tại giữa các tiểu phần để học sinh có thể tái cấu trúc tri thức trong nhóm mảnh ghép

- Có yêu cầu vận dụng ở nhiều mức độ nhận thức

- Thúc đẩy phát triển năng lực hợp tác, giao tiếp và giải quyết vấn đề của học sinh.

Nội dung
Yêu cầu cần đạt
HĐ sử dụng KTMG
Cấu trúc mảnh ghép
(nhóm chuyên gia)
Đại số
Đa thức. Các phép tính với đa thức.
- Nhận biết đơn thức, đa thức nhiều biến.
- Tính giá trị của đa thức.
- Thu gọn đơn thức, đa thức.
Luyện tập
Nhóm 1: Khái niệm đơn thức - đa thức.
Nhóm 2: Bậc và hệ số.
Nhóm 3: Mô hình hóa bằng tình huống.
Nhóm 4: Bài tập ứng dụng.
- Thực hiện các phép tính cộng, trừ, nhân, chia (trường hợp chia hết đơn giản) với đơn thức, đa thức nhiều biến.
Nhóm 1: Phép cộng đa thức 1 biến.
Nhóm 2: Phép trừ đa thức 1 biến.
Nhóm 3: Phép cộng đa thức nhiều biến.
Nhóm 4: Phép trừ đa thức nhiều biến.
Nhóm 1: Nhân hai đơn thức.
Nhóm 2: Nhân đơn thức với đa thức.
Nhóm 3: Nhân hai đa thức.
Nhóm 1: Chia đơn thức cho đơn thức.
Nhóm 2: Chia đa thức cho đơn thức.
Các hằng đẳng thức đáng nhớ
- Nhận biết đồng nhất thức, hằng đẳng thức.
- Mô tả các hằng đẳng thức đáng nhớ.
- Vận dụng hằng đẳng thức phân tích đa thức thành nhân tử.
Hình thành kiến thức
Nhóm 1: Bình phương của một tổng
Nhóm 2: Bình phương của một hiệu.
Nhóm 3: Hiệu hai bình phương.
Luyện tập
Nhóm 1: Lập phương của một tổng.
Nhóm 2: Lập phương của một hiệu
Nhóm 3: Tổng hai lập phương
Nhóm 4: Hiệu hai lập phương
Phân tích đa thức thành nhân tử
- Nhận biết phân tích đa thức thành nhân tử và biết ba phương pháp phân tích đa thức thành nhân tử: Đặt nhân tử chung; sử dụng hằng đẳng thức; nhóm các hạng tử.
Hình thành kiến thức
Nhóm 1: Phương pháp Đặt nhân tử chung.
Nhóm 2: Phương pháp Dùng hằng đẳng thức.
Nhóm 3: Phương pháp Nhóm hạng tử.
Hình học
Tính chất và dấu hiệu nhận biết các tứ giác đặc biệt
- Giải thích được tính chất hình bình hành, hình chữ nhật, hình thoi, hình vuông.
- Nhận biết được dấu hiệu của các hình trên.
Luyện tập
Nhóm 1: Tổng hợp tính chất về Cạnh và Góc.
Nhóm 2: Tổng hợp tính chất về Đường chéo.
Nhóm 3: Tổng hợp các Dấu hiệu nhận biết.
Tam giác đồng dạng
- Mô tả được định nghĩa của hai tam giác đồng dạng.
- Giải thích được các trường hợp đồng dạng của hai tam giác, của hai tam giác vuông.
- Giải quyết được một số vấn đề thực tiễn gắn với việc vận dụng kiến thức về hai tam giác đồng dạng
Luyện tập
Nhóm 1: Trường hợp Cạnh - Cạnh - Cạnh.
Nhóm 2: Trường hợp Cạnh - Góc - Cạnh.
Nhóm 3: Trường hợp Góc - Góc.
Hình chóp tam giác đều, hình chop tứ giác đều
- Mô tả, tạo lập được hình chóp tam giác đều và hình chóp tứ giác đều.
- Tính được diện tích xung quanh, thể tích của một hình chóp tam giác đều và hình chóp tứ giác đều.
- Giải quyết được một số vấn đề thực tiễn gắn với việc tính thể tích, diện tích xung quanh của hình chóp tam giác đều và hình chóp tứ giác đều
Hình thành kiến thức
Nhóm 1: Hình chóp tam giác đều (đặc điểm, công thức).
Nhóm 2: Hình chóp tứ giác đều (đặc điểm, công thức).
Một số yếu tố thống kê
Các loại biểu đồ thống kê
- Lựa chọn và biểu diễn được dữ liệu vào bảng, biểu đồ thích hợp.
- Nhận biết được mối liên hệ toán học đơn giản giữa các số liệu đã được biểu diễn.
- So sánh được các dạng biểu diễn khác nhau cho một tập dữ liệu.
Hình thành kiến thức/ Luyện tập
Nhóm 1: Biểu đồ cột kép (So sánh).
Nhóm 2: Biểu đồ quạt tròn (Cơ cấu %).
Nhóm 3: Biểu đồ đoạn thẳng (Xu hướng).

Bảng 1. Bảng đề xuất nội dung dạy học theo Jigsaw – Toán 8

2.2.3. Nguyên tắc thiết kế hoạt động học tập theo kĩ thuật mảnh ghép

Việc thiết kế hoạt động học tập theo Kỹ thuật Mảnh ghép (Jigsaw) cần tuân thủ một số nguyên tắc sư phạm nhằm đảm bảo tính hiệu quả và định hướng phát triển năng lực cho học sinh. Trước hết, hoạt động phải gắn chặt với mục tiêu bài học và các yêu cầu cần đạt, trong đó chú trọng năng lực tự học, giao tiếp - hợp tác và năng lực giải quyết vấn đề. Quan điểm của Darling-Hammond et al. (2017) nhấn mạnh rằng nhiệm vụ học tập chỉ phát huy giá trị nếu trực tiếp phục vụ mục tiêu năng lực [7].

Tiếp theo, nội dung phân chia cho các nhóm chuyên gia phải bảo đảm tính chính xác, tính toàn diện và mức độ tương đương về độ khó. Theo Johnson & Johnson (2019), nội dung trong dạy học hợp tác cần có sự độc lập tương đối nhưng vẫn liên kết chặt chẽ khi được tổng hợp, nhằm hình thành một chỉnh thể tri thức hoàn chỉnh [2].

Một nguyên tắc quan trọng khác là phát huy tính tích cực và chủ động của học sinh. Slavin (2014) cho rằng hiệu quả của hợp tác phụ thuộc vào mức độ tham gia thực chất của từng cá nhân; do đó, nhiệm vụ giao cho các nhóm chuyên gia cần mang tính mở, khuyến khích học sinh phân tích, diễn giải và minh chứng bằng ngôn ngữ của chính mình [8].

Ngoài ra, hoạt động phải đảm bảo tạo ra sự phụ thuộc tích cực giữa các thành viên – đặc trưng cốt lõi của Jigsaw. Aronson & Patnoe (1978) khẳng định việc mỗi học sinh nắm giữ một “mảnh” thông tin thiết yếu sẽ thúc đẩy tinh thần trách nhiệm và động lực nội tại trong học tập [1].

Cuối cùng, giáo viên cần giữ vai trò tổ chức và hỗ trợ một cách hợp lí. Theo Darling-Hammond & Bransford (2005), giáo viên trong môi trường kiến tạo là “người thiết kế môi trường học tập”, đảm bảo quá trình hợp tác diễn ra trôi chảy nhưng không làm giảm tính tự chủ của học sinh [7].

Những nguyên tắc này giúp đảm bảo rằng hoạt động theo kỹ thuật mảnh ghép không chỉ đáp ứng nội dung chương trình mà còn góp phần phát triển tư duy, hợp tác và năng lực giải quyết vấn đề của học sinh lớp 8.

2.2.2. Quy trình thiết kế hoạt động học tập theo kĩ thuật mảnh ghép

Thiết kế hoạt động học tập theo kỹ thuật mảnh ghép là một quy trình mang tính hệ thống, đòi hỏi giáo viên xác định rõ mục tiêu bài học, cấu trúc nội dung và khả năng tương tác của học sinh. Quy trình thiết kế có thể triển khai qua ba bước cơ bản sau:

Bước 1: Lựa chọn nội dung phù hợp có khả năng áp dụng KTMG để phân chia thành các “mảnh” kiến thức

Giáo viên phân tích bài học để xác định các tiểu chủ đề có thể tách thành những phần tương đối độc lập nhưng vẫn liên kết logic khi tổng hợp. Nội dung được lựa chọn cần bảo đảm tính phân mảnh, tính liên kết và sự tương đương về độ khó giữa các mảnh, nhằm giúp học sinh thực sự đóng vai trò “chuyên gia” trong phần nội dung được giao.

Bước 2: Xác định mục tiêu của bài học

Mục tiêu thiết kế theo KTMG phải thể hiện rõ ba phương diện:

(1) Kiến thức cốt lõi học sinh cần chiếm lĩnh ở từng mảnh và trong toàn bài;

(2) Năng lực cần hình thành như hợp tác, giao tiếp, lập luận và giải quyết vấn đề;

(3) Phẩm chất học tập như trách nhiệm và sự tôn trọng lẫn nhau.

Việc xác định mục tiêu rõ ràng giúp thiết kế nhiệm vụ phù hợp với tiến trình nhận thức của học sinh [7].

Bước 3:Thiết kế nhiệm vụ cho nhóm chuyên gia và nhóm mảnh ghép

Nhiệm vụ ở nhóm chuyên gia tập trung vào việc chiếm lĩnh và diễn giải nội dung ở chiều sâu thông qua các câu hỏi mở, phiếu học tập hoặc hoạt động khám phá có định hướng. Học sinh phải đạt mức hiểu biết vững để truyền đạt lại cho các bạn.

Ở nhóm mảnh ghép, nhiệm vụ mang tính tổng hợp và mở rộng, yêu cầu học sinh chia sẻ, tích hợp và hoàn thiện tri thức thông qua sản phẩm chung như báo cáo, bản đồ kiến thức hoặc lời giải hoàn chỉnh. Những nhiệm vụ này bảo đảm đồng thời hai nguyên tắc của học tập hợp tác: trách nhiệm cá nhân và mục tiêu chung [8].

Quy trình ba bước này cho phép giáo viên thiết kế hoạt động Jigsaw một cách khoa học, nhất quán và phù hợp với định hướng phát triển năng lực của Chương trình GDPT 2018.

image001.png
Hình 1. Tổ chức học tập theo KTMG

2.2.3. Ví dụ minh họa vận dụng quy trình thiết kế hoạt động dạy học

Nhằm làm rõ tính khả thi của quy trình thiết kế hoạt động dạy học theo kĩ thuật Mảnh ghép (Jigsaw), nghiên cứu tiến hành vận dụng quy trình này vào bài học “Hiệu hai bình phương. Bình phương của một tổng và một hiệu” (Toán 8), thuộc bộ sách Kết nối tri thức với cuộc sống. Đây là bài học có cấu trúc nội dung rõ ràng, gồm nhiều đơn vị kiến thức vừa độc lập tương đối, vừa có mối liên hệ chặt chẽ, rất phù hợp để tổ chức dạy học theo hình thức hợp tác kiểu Jigsaw.

Bước 1. Lựa chọn nội dung dạy học

Nội dung bài học gồm ba đơn vị kiến thức chính: Bình phương của một hiệu, Hiệu hai bình phương, và Bình phương của một tổng. Mỗi hằng đẳng thức đều có cấu trúc đại số riêng, yêu cầu học sinh nhận biết, phân tích và vận dụng trong các tình huống khác nhau. Tuy nhiên, xét về bản chất toán học, cả ba nội dung đều là các dạng khai triển và biến đổi của biểu thức đại số bậc hai.

Chính sự độc lập về cấu trúc nhưng thống nhất về bản chất này cho phép phân chia nội dung bài học thành ba mảnh kiến thức tương ứng với ba nhóm “chuyên gia”. Việc tổ chức như vậy không chỉ đảm bảo mỗi nhóm có một trọng tâm nghiên cứu rõ ràng, mà còn tạo điều kiện để khi ghép nhóm, học sinh có thể so sánh, đối chiếu và khái quát hóa mối quan hệ giữa các hằng đẳng thức, qua đó hình thành tri thức một cách hệ thống và bền vững hơn.

Bước 2. Xác định mục tiêu bài học

Việc xác định mục tiêu bài học được thực hiện theo định hướng phát triển năng lực, bảo đảm sự thống nhất giữa yêu cầu cần đạt của Chương trình giáo dục phổ thông 2018 và đặc trưng của kĩ thuật dạy học Mảnh ghép.

Về kiến thức, học sinh cần nhận biết và phát biểu đúng các hằng đẳng thức: bình phương của một tổng, bình phương của một hiệu và hiệu hai bình phương; đồng thời mô tả được cấu trúc của từng hằng đẳng thức thông qua các thành phần đại số cấu tạo nên chúng. Trên cơ sở đó, học sinh hiểu được ý nghĩa của việc sử dụng các hằng đẳng thức trong biến đổi và tính toán biểu thức.

Về năng lực, bài học góp phần hình thành và phát triển đồng thời cả năng lực toán học đặc thù và năng lực chung.

- Năng lực tự chủ, tự học: Tự nhớ, củng cố lại kiến thức và hoàn thành các nhiệm vụ GV yêu cầu.

- Năng lực giao tiếp toán học: Được hình thành thông qua việc học sinh sử dụng được các thuật ngữ toán học xuất hiện ở bài học trong trình bày, diễn đạt để củng cố kiến thức.

- Năng lực mô hình hóa toán học: Hình thành thông qua việc học sinh viết được hằng đẳng thức bình phương của một tổng hay một hiệu, hiệu hai bình phương để mô tả tình huống xuất hiện trong một số bài toán thực tế đơn giản.

- Năng lực tư duy và lập luận toán học: Được hình thành thông qua các thao tác như biến đổi hằng đẳng thức, nhận biết từng dạng hằng đẳng thức, tính nhanh,...

- Năng lực giải quyết vấn đề toán học: Được hình thành thông qua việc học sinh phát hiện được vấn đề cần giải quyết và sử dụng được kiến thức, kĩ năng toán học trong bài học để giải quyết vấn đề.

Về phẩm chất, bài học góp phần rèn luyện cho học sinh phẩm chất chăm chỉ thông qua việc tích cực tham gia các hoạt động cá nhân và nhóm, chủ động ghi chép và hoàn thành nhiệm vụ học tập. Phẩm chất trách nhiệm được thể hiện khi mỗi học sinh ý thức được vai trò của mình trong nhóm chuyên gia và nhóm mảnh ghép, có trách nhiệm với phần kiến thức được giao và với kết quả chung của nhóm. Đồng thời, phẩm chất trung thực được hình thành khi học sinh tự giác suy nghĩ, tìm tòi cách giải và trình bày kết quả học tập của mình, không sao chép hay phụ thuộc vào kết quả của bạn khác.

Bước 3. Thiết kế nhiệm vụ tương ứng với từng giai đoạn

(1) Vòng chuyên gia:

Chia lớp thành 3 nhóm chính, mỗi nhóm có phiếu học tập tương ứng:

- Nhóm chuyên gia 1: Về bình phương của một tổng.

image003.png

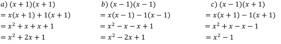
Bài 1: Tính (x +1) (x +1)

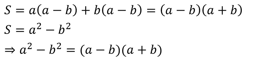
Bài 2: Biểu diễn diện tích hình vuông MNPQ theo 2 cách và so sánh kết quả nhận được.

Bài 3: Viết biểu thức sau dưới dạng bình phương:

image007.png

- Nhóm chuyên gia 2: Về Bình phương của một hiệu.

image009.png

Bài 1: Tính (x- 1) (x-1)

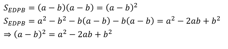
Bài 2: Biểu diễn diện tích hình vuông EDPB theo 2 cách và so sánh kết quả nhận được.

Bài 3: Viết biểu thức sau dưới dạng bình phương

image013.png

- Nhóm chuyên gia 3: Về hiệu hai bình phương

image015.png

Bài 1: Tính (x - 1) (x + 1)

Bài 2: Biểu diễn diện tích màu xanh nước biển theo 2 cách và so sánh kết quả nhận được.

Bài 3: Viết biểu thức sau dưới dạng tích:

image019.png

(2) Vòng mảnh ghép

Các thành viên của “nhóm chuyên gia” được chia ra để hình thành “nhóm mảnh ghép”. Mỗi thành viên của “nhóm chuyên gia” trong “nhóm mảnh ghép” sẽ trình bày lại nội dung mà nhóm mình đã nghiên cứu.

2.4. Tổ chức dạy học theo kĩ thuật mảnh ghép

Tổ chức dạy học theo kĩ thuật mảnh ghép (Jigsaw) đòi hỏi giáo viên không chỉ phân chia nhiệm vụ học tập hợp lí mà còn phải thiết kế tiến trình tương tác giúp học sinh trở thành “chuyên gia” trước khi chuyển sang chia sẻ trong nhóm mới. Quy trình triển khai gồm hai vòng: vòng chuyên gia và vòng mảnh ghép, được thực hiện theo bảy bước như sau.

(1) Vòng chuyên gia

Bước 1: Tổ chức nhóm chuyên gia và giao nhiệm vụ

Giáo viên chia lớp thành các cụm học tập; trong mỗi cụm, tiếp tục chia thành các nhóm nhỏ từ 3-5 học sinh. Số nhóm chuyên gia phải tương ứng với số nội dung học tập; số thành viên trong mỗi nhóm cần đủ để khi tách ra có thể hình thành nhóm mảnh ghép hoàn chỉnh.

Mỗi nhóm chuyên gia được giao một tiểu chủ đề hoặc một mảnh nội dung trong bài học để nghiên cứu sâu.

Bước 2: Thảo luận nhóm chuyên gia

Các thành viên trong nhóm chuyên gia trao đổi, đối chiếu kết quả cá nhân và thống nhất cách hiểu, cách trình bày nội dung được giao.

Tất cả học sinh đều phải tham gia, vì nhiệm vụ ở vòng sau yêu cầu mỗi học sinh trở thành người truyền đạt nội dung.

Bước 3: Cùng cố hiểu biết và “dạy cho nhau”

Trong nhóm chuyên gia, các thành viên luân phiên giải thích, đặt câu hỏi kiểm tra chéo, chỉnh sửa sai sót cho nhau.

Nhóm chỉ kết thúc vòng chuyên gia khi mọi thành viên đều tự tin có thể “giảng lại” nội dung cho nhóm mảnh ghép.

(2) Vòng mảnh ghép

Bước 4: Tách nhóm chuyên gia, hình thành nhóm mảnh ghép

Giáo viên sử dụng thẻ màu, số thứ tự hoặc mã kí hiệu để tách các nhóm chuyên gia. Mỗi học sinh mang theo số hiệu tương ứng với nội dung đã được phân công. Cách đánh số bảo đảm khi di chuyển sang vòng sau, mỗi nhóm mảnh ghép có đầy đủ các “chuyên gia”.

Bước 5: Chuyên gia chia sẻ và thảo luận nhóm

Lần lượt từng chuyên gia trình bày nội dung đã phụ trách. Các thành viên nhóm mảnh ghép đặt câu hỏi, đối chiếu nội dung, và cùng nhau xử lí nhiệm vụ tổng hợp mà giáo viên giao cho vòng này.

Vòng mảnh ghép giúp học sinh chuyển từ hiểu một phần sang hiểu trọn vẹn chủ đề bài học.

Bước 6: Báo cáo sản phẩm trước lớp

Giáo viên sử dụng các hình thức như thẻ số, quay random, chọn đại diện hoặc chọn nhóm bất kì để đảm bảo tính công bằng và tính sẵn sàng của học sinh. Nhóm/đại diện nhóm trình bày sản phẩm, lập luận và cách giải quyết nhiệm vụ.

Bước 7: Đánh giá, phản hồi, chốt kiến thức

Giáo viên đánh giá quá trình và sản phẩm của học sinh theo tiêu chí rõ ràng: độ chính xác kiến thức, sự hợp tác, khả năng trình bày.

Bài 1: Tính

1-2874.png

Bài 2:

a) Biểu diễn diện tích MNPQ theo 2 cách và so sánh

1-6735.png
1-8570.png

b) Biểu diễn diện tích EDPB theo 2 cách và so sánh

1-6837.png
image053.png

c) Biểu diễn diện tích màu xanh biển theo 2 cách và so sánh

1-1280.png
image061.png

Bài 3: Tính

1-7253.png

Cuối cùng, giáo viên tổng hợp, khái quát hóa và chốt lại kiến thức trọng tâm của bài học; đồng thời điều chỉnh hoặc mở rộng hiểu biết của học sinh nếu cần thiết.

So với hình thức “chia nhóm - làm việc - báo cáo” truyền thống, quy trình Jigsaw thể hiện tính mới ở chỗ mỗi học sinh phải trở thành chuyên gia nội dung, từ đó nâng cao trách nhiệm cá nhân và sự chủ động trong học tập. Cấu trúc hai vòng giúp tạo ra sự phụ thuộc tích cực giữa các thành viên: mỗi “mảnh kiến thức” đều cần thiết để hoàn thiện nhiệm vụ chung. Đồng thời, Jigsaw thúc đẩy tương tác đa chiều từ cá nhân đến nhóm và toàn lớp, qua đó làm sâu sắc việc chiếm lĩnh kiến thức và phát triển năng lực hợp tác học tập của học sinh.

2.5. Thuận lợi và hạn chế trong tổ chức dạy học kĩ thuật mảnh ghép

Việc tổ chức dạy học theo kĩ thuật mảnh ghép (Jigsaw) trong môn Toán lớp 8 mang lại nhiều thuận lợi nổi bật, đồng thời cũng bộc lộ một số hạn chế nhất định trong quá trình triển khai thực tế. Việc nhận diện đầy đủ cả hai mặt này có ý nghĩa quan trọng trong việc thiết kế và tổ chức hoạt động dạy học một cách hiệu quả.

Về thuận lợi, kĩ thuật mảnh ghép giúp tăng cường tính chủ động và trách nhiệm cá nhân của học sinh trong học tập. Khi mỗi học sinh đảm nhiệm vai trò “chuyên gia” đối với một mảnh kiến thức, các em buộc phải tự nghiên cứu, phân tích và hệ thống hóa nội dung, đồng thời có trách nhiệm truyền đạt lại cho các thành viên trong nhóm mảnh ghép. Cơ chế này không chỉ giúp học sinh nắm vững kiến thức mà còn góp phần phát triển năng lực tự học, tư duy phản biện, lập luận và giải quyết vấn đề, phù hợp với định hướng phát triển năng lực của Chương trình GDPT 2018.

Bên cạnh đó, kĩ thuật mảnh ghép tạo điều kiện thuận lợi cho việc phát triển năng lực giao tiếp và hợp tác. Quá trình luân chuyển giữa nhóm chuyên gia và nhóm mảnh ghép thúc đẩy học sinh trao đổi, chia sẻ, lắng nghe và phối hợp để hoàn thành nhiệm vụ chung. Nhờ đó, học sinh hình thành kĩ năng làm việc nhóm, ý thức trách nhiệm tập thể và khả năng tự đánh giá, điều chỉnh hoạt động học tập của bản thân.

Đối với giáo viên, việc tổ chức dạy học theo kĩ thuật mảnh ghép cho phép quan sát và đánh giá học sinh một cách toàn diện hơn. Giáo viên có thể nhận diện rõ mức độ chiếm lĩnh kiến thức, khả năng trình bày, hợp tác và giải quyết vấn đề của học sinh, từ đó điều chỉnh nhiệm vụ học tập theo hướng phân hóa và phù hợp hóa. Đồng thời, phương pháp này góp phần đổi mới hình thức tổ chức lớp học, chuyển trọng tâm từ truyền thụ kiến thức sang tổ chức và hỗ trợ hoạt động học tập của học sinh.

Tuy nhiên, việc tổ chức dạy học theo kĩ thuật mảnh ghép cũng tồn tại một số hạn chế. Thứ nhất, phương pháp này đòi hỏi thời gian tổ chức và điều phối lớn hơn so với dạy học truyền thống, đặc biệt trong các lớp học đông học sinh. Thứ hai, hiệu quả của kĩ thuật mảnh ghép phụ thuộc nhiều vào năng lực thiết kế hoạt động và kĩ năng quản lí lớp học của giáo viên. Thứ ba, sự chênh lệch về năng lực, thái độ và mức độ tham gia của học sinh có thể ảnh hưởng đến chất lượng hợp tác và mức độ tiếp thu kiến thức. Ngoài ra, không phải mọi nội dung toán học đều dễ dàng phân chia thành các mảnh kiến thức độc lập mà vẫn đảm bảo tính logic và hệ thống.

Mặc dù còn những hạn chế nhất định, kĩ thuật mảnh ghép vẫn cho thấy nhiều ưu thế trong việc phát triển năng lực học sinh, đặc biệt là năng lực hợp tác, giao tiếp và giải quyết vấn đề. Nếu được thiết kế và tổ chức hợp lý, phương pháp này có thể phát huy hiệu quả rõ rệt trong dạy học Toán lớp 8, góp phần thực hiện mục tiêu đổi mới phương pháp dạy học theo định hướng phát triển phẩm chất và năng lực của Chương trình GDPT 2018.

3. Kết luận và khuyến nghị

3.1. Khuyến nghị

Trên cơ sở phân tích cơ sở lý luận, ứng dụng thực tiễn và thiết kế một số hoạt động dạy học theo kỹ thuật mảnh ghép (Jigsaw), có thể đề xuất một số khuyến nghị nhằm nâng cao hiệu quả áp dụng phương pháp này trong dạy học Toán lớp 8, phù hợp với mục tiêu đổi mới giáo dục toàn diện theo Chương trình Giáo dục phổ thông 2018 và Nghị quyết 71/NQ-CP.

Trước hết, việc đào tạo và bồi dưỡng giáo viên là yếu tố then chốt để triển khai hiệu quả Jigsaw. Giáo viên cần được trang bị kiến thức về lý thuyết học tập hợp tác, kỹ năng thiết kế mảnh kiến thức, phân công học sinh, tổ chức thảo luận nhóm chuyên gia và nhóm gốc, đồng thời hướng dẫn học sinh trình bày và tổng hợp kiến thức. Việc bồi dưỡng cần kết hợp hướng dẫn lý thuyết, minh họa bằng ví dụ thực tiễn và thực hành tại lớp, giúp giáo viên làm quen với các tình huống thực tế và phát triển năng lực điều phối, quản lý thời gian và tổ chức lớp học hiệu quả.

Thứ hai, cần khuyến khích thiết kế bài học theo hướng phân mảnh kiến thức hợp lý. Giáo viên nên lựa chọn những chủ đề có thể chia thành các mảnh độc lập nhưng liên hệ chặt chẽ với nhau, phù hợp với khả năng tiếp thu và năng lực học sinh. Ví dụ, trong Toán lớp 8, các bài học về giải hệ phương trình bậc nhất, hằng đẳng thức, hay tính chất hình bình hành có thể phân chia thành nhiều mảnh nhỏ cho từng nhóm chuyên gia, giúp học sinh tập trung nghiên cứu chuyên sâu, sau đó phối hợp trong nhóm gốc để tổng hợp và vận dụng kiến thức. Việc này không chỉ giúp học sinh hiểu sâu, ghi nhớ lâu dài mà còn phát triển khả năng tư duy tổng hợp và vận dụng kiến thức vào các bài toán phức tạp hơn.

Thứ ba, cần xây dựng cơ chế đánh giá và phản hồi hiệu quả. Để đảm bảo mỗi học sinh thực sự tham gia và chịu trách nhiệm với phần kiến thức của mình, giáo viên nên áp dụng các hình thức đánh giá kết hợp: đánh giá cá nhân dựa trên khả năng trình bày và giải thích, đánh giá nhóm dựa trên sự phối hợp và đóng góp, cùng với đánh giá quá trình thảo luận. Việc này không chỉ nâng cao trách nhiệm cá nhân và tinh thần hợp tác mà còn giúp học sinh nhận thức rõ vai trò và đóng góp của bản thân trong nhóm.

Thứ tư, tạo môi trường học tập tích cực, khuyến khích hợp tác và trao đổi là điều kiện quan trọng để Jigsaw phát huy hiệu quả. Giáo viên cần xây dựng văn hóa lớp học nơi học sinh được khuyến khích đặt câu hỏi, trao đổi ý kiến, phản biện lẫn nhau và thử nghiệm nhiều cách giải quyết vấn đề. Điều này giúp học sinh phát triển kỹ năng giao tiếp, thuyết trình và tư duy phản biện, đồng thời giảm thiểu hiện tượng ỷ lại vào bạn giỏi trong nhóm.

Cuối cùng, khuyến nghị áp dụng Jigsaw một cách linh hoạt và lồng ghép với các phương pháp khác. Giáo viên nên kết hợp Jigsaw với các hình thức học tập chủ động khác như học theo dự án (Project-based Learning), học tập trải nghiệm hoặc các hoạt động STEM, nhằm nâng cao sự hứng thú và phát triển năng lực toàn diện cho học sinh. Việc linh hoạt này giúp điều chỉnh mức độ phức tạp của bài học, thời gian thực hiện và phù hợp với năng lực thực tế của lớp học, đồng thời đảm bảo mục tiêu giáo dục về phát triển tư duy, kỹ năng hợp tác và giải quyết vấn đề.

Tóm lại, các khuyến nghị trên nhằm tăng cường hiệu quả dạy học Toán lớp 8 theo kỹ thuật mảnh ghép, góp phần phát triển năng lực học sinh toàn diện, phù hợp với định hướng đổi mới giáo dục phổ thông hiện nay. Việc triển khai đồng bộ các giải pháp về đào tạo giáo viên, thiết kế bài học, đánh giá, tạo môi trường học tập tích cực và áp dụng linh hoạt sẽ giúp Jigsaw không chỉ là công cụ truyền đạt kiến thức mà còn trở thành phương pháp thúc đẩy học sinh trở thành chủ thể trong quá trình học tập, phát triển năng lực tư duy, giao tiếp và giải quyết vấn đề - những năng lực cốt lõi trong chương trình GDPT 2018 và mục tiêu Nghị quyết 71/NQ-TW.

3.2. Kết luận

Nghiên cứu đã hệ thống hóa cơ sở lý luận, cơ sở lựa chọn nội dung dạy học bằng kỹ thuật mảnh ghép; đưa ra các nội dung có thể vận dụng kỹ thuật này trong dạy học môn Toán lớp 8. Từ đó chúng tôi thiết lập một quy trình thiết kế hoạt động học tập, quy trình tổ chức dạy học bằng kỹ thuật mảnh ghép và minh hoạ bằng ví dụ cụ thể vào chủ đề "Hằng đẳng thức đáng nhớ". Phương pháp này không chỉ giúp học sinh chủ động chiếm lĩnh tri thức, hiểu sâu bản chất toán học thông qua tương tác nhóm, mà còn phát triển mạnh mẽ năng lực giải quyết vấn đề, năng lực giao tiếp và tinh thần trách nhiệm cá nhân. Đây là định hướng phù hợp với yêu cầu đổi mới phương pháp dạy học nhằm phát triển năng lực của học sinh.

Tin tiêu điểm

Đừng bỏ lỡ

Bí quyết thu hút của cải không hề xa vời hay huyền bí. (Ảnh: ITN)

Làm được những điều này, bạn không bao giờ lo thiếu tiền

GD&TĐ - Bạn đã bao giờ tưởng tượng, nếu tiền thực sự có chân, tự động chạy vào túi bạn, thì sẽ là một trải nghiệm thế nào? Nghe có vẻ như là 'phép màu trong câu chuyện cổ tích', nhưng thật ra bí quyết thu hút của cải không hề xa vời...

Em Trần Đức Hiếu và cô giáo Trần Thị Trang Nhung.

Tự học để bứt phá

GD&TĐ - Bằng cách tự học, các em học sinh tại vùng cao Tuyên Quang vượt qua giới hạn, phát triển năng lực bản thân mang về thành công.