Đây là lần đầu tiên, môn Toán thi với hình thức trắc nghiệm trong kỳ thi THPT quốc gia. Do đó, để giúp giáo viên và đặc biệt là học sinh lớp 12 định hướng hình thức cũng như cấu trúc đề thi, Bộ GD&ĐT đã ra đề thi minh họa các bài thi. Đề thi minh họa môn Toán được đánh giá phù hợp, có tính phân loại tốt và kiến thức chủ yếu ở lớp 12.
Thầy Huỳnh Thanh Lam - giáo viên Trường THPT Trần Văn Bảy (Sóc Trăng) - cho biết: Trong đề thi minh họa, phần kiến thức phương pháp tọa độ trong không gian gồm 8 câu, từ câu 43 đến câu 50. Việc dạy kiến thức, phương pháp trả lời câu hỏi trắc nghiệm phần nội dung này được giáo viên bộ môn các trường THPT trong và ngoài tỉnh Sóc Trăng hết sức quan tâm và đầu tư.
Một số lưu ý chung
Theo thầy Huỳnh Thanh Lam, hình thức thi trắc nghiệm đòi hỏi học sinh phải lĩnh hội kiến thức vừa sâu vừa rộng vì câu hỏi trắc nghiệm có thể cho ở bất cứ nội dung nào trong chương trình học.
Theo qui định của Bộ GD&ĐT, kiến thức trong các bài thi trong kì thi THPT quốc gia hoàn toàn nằm trong chương trình cơ bản. Tuy nhiên, học sinh có thể sử dụng kiến thức trong chương trình năng cao để giải toán.
Do đó, yêu cầu người giáo viên phải đảm bảo phần kiến thức cơ bản cho học sinh và có thể bổ sung một số kiến thức nâng cao.
Việc bổ sung kiến thức nâng cao hết sức cần thiết trong việc trả lời các câu hỏi trắc nghiệm, có thể giúp học sinh trả lời câu hỏi nhanh hơn so với sử dụng kiến thức cơ bản.
Thêm vào đó, học sinh cần kết hợp với việc sử dụng máy tính cầm tay để hỗ trợ hoàn thành câu hỏi chính xác và nhanh chóng.
Dạy học phương pháp tọa độ không gian theo hướng thi trắc nghiệm
Thầy Huỳnh Thanh Lam chia sẻ kinh nghiệm trong dạy học phương pháp tọa độ không gian theo hướng thi trắc nghiệm. Các bài tập trắc nghiệm được thây đưa ra sau đây đều xét trong không gian Oxyz.
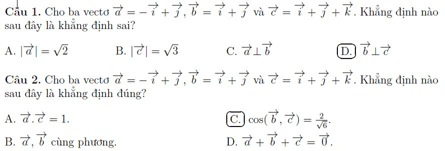
Hệ tọa độ trong không gian
Với nội dung này, thầy Lam cho biết, về kiến thức cơ bản, yêu cầu học sinh nắm vững toàn bộ các kiến thức về Hệ tọa độ trong không gian trong sách giáo khoa (chương trình cơ bản)
Một số câu hỏi trắc nghiệm minh họa:
![]() |
Về kiến thức nâng cao, thầy Lam lưu ý công thức tính và một số câu hỏi trắc nghiệm minh họa như sau:
![]() |
Phương trình mặt phẳng
Với nội dung này, thầy Lam lưu ý, về kiến thức cơ bản, yêu cầu học sinh nắm vững toàn bộ các kiến thức về phương trình mặt phẳng trong sách giáo khoa (chương trình cơ bản) và đưa ra một số câu hỏi trắc nghiệm minh họa như sau:
![]() |
Kiến thức nâng cao, thầy Lam lưu ý các công thức tính, đồng thời đưa ra một số ví dụ minh họa như sau:
![]() |
![]() |
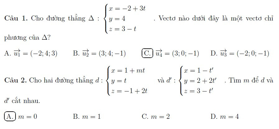
Phương trình đường thẳng trong không gian
Kiến thức cơ bản: Yêu cầu học sinh nắm vững toàn bộ các kiến thức về phương trình đường thẳng trong không gian trong sách giáo khoa (chương trình cơ bản).
Một số câu hỏi trắc nghiệm minh họa:
![]() |
Kiến thức nâng cao:
![]() |
![]() |
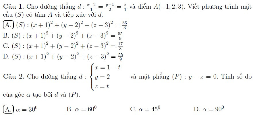
Một số câu hỏi trắc nghiệm minh họa về kiến thức nâng cao:
![]() |
Thầy Huỳnh Thanh Lam lưu ý: Dạy học chủ đề phương pháp tọa độ trong không gian theo hướng trắc nghiệm khách quan yêu cầu học sinh không những nắm vững phần kiến thức cơ bản mà còn bổ sung một số kiến thức ở phần nâng cao nhằm đạt kết quả cao trong việc trả lời các câu hỏi trong đề thi.
Theo cách thi mới, mọi nội dung kiến thức đều quan trọng như nhau, do đó học sinh không được “học lướt” bất cứ phần nào, mới có thể đạt kết quả cao nhất.
Với chủ đề Chủ đề phương pháp tọa độ trong không gian, do là phần nối tiếp của chủ đề hình học không gian cổ điển trong chương trình lớp 11, vì thế để học tốt học sinh cần nắm vững kiến thức về hình học không gian cổ điển.








