Chiều 6/6, hơn 22 nghìn thí sinh tỉnh Phú Thọ đã hoàn thành bài thi Toán và khép lại ngày thi đầu tiên của kỳ thi tuyển sinh vào lớp 10 THPT năm học 2024 - 2025.
Theo đánh giá của thí sinh và giáo viên đề thi Toán vào lớp 10 năm nay bám sát kiến thức chương trình học, cấu trúc đề đã được thí sinh làm quen, đảm bảo độ hóa học sinh.
Báo GD&TĐ giới thiệu gợi ý đáp án do nhóm giáo viên môn Toán trường THCS Vũ Duệ (huyện Lâm Thao, Phú Thọ) thực hiện. Gợi ý đáp án này không phải đáp án chính thức của kỳ thi.
![]() |
| Gợi ý đáp án môn Toán thi vào Lớp 10 năm học 2024 - 2025 ở Phú Thọ do nhóm giáo viên Trường THCS Vũ Duệ thực hiện (trang 1). |
![]() |
| Gợi ý đáp án môn Toán thi vào Lớp 10 năm học 2024 - 2025 ở Phú Thọ do nhóm giáo viên Trường THCS Vũ Duệ thực hiện (trang 2). |
![]() |
| Gợi ý đáp án môn Toán thi vào Lớp 10 năm học 2024 - 2025 ở Phú Thọ do nhóm giáo viên Trường THCS Vũ Duệ thực hiện (trang 3). |
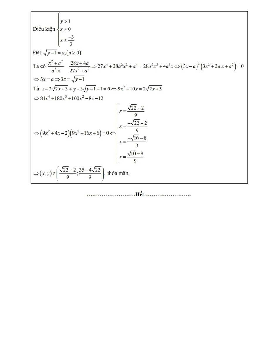
![]() |
| Gợi ý đáp án môn Toán thi vào Lớp 10 năm học 2024 - 2025 ở Phú Thọ do nhóm giáo viên Trường THCS Vũ Duệ thực hiện (trang 4). |
Theo lịch thi đã định, sáng mai (7/6), các thí sinh làm bài thi môn tiếng Anh, thời gian làm bài 90 phút; giờ bắt đầu làm bài 7h30.
Đây là môn thi cuối cùng của kỳ thi vào lớp 10 THPT hệ không chuyên năm học 2024 - 2025.



