>>> Xem gợi ý lời giải tất cả môn thi tốt nghiệp THPT 2025 TẠI ĐÂY
>>> Xem gợi ý đáp án môn Ngữ văn TẠI ĐÂY
>>> Xem gợi ý đáp án môn Toán TẠI ĐÂY
>>> Xem gợi ý đáp án môn Vật lý TẠI ĐÂY
>>> Xem gợi ý đáp án môn Sinh học TẠI ĐÂY
>>> Xem gợi ý đáp án môn Lịch sử TẠI ĐÂY
>>> Xem gợi ý đáp án môn Giáo dục công dân TẠI ĐÂY
>>> Xem gợi ý đáp án môn Tin học TẠI ĐÂY
>>> Xem gợi ý đáp án môn Địa lý TẠI ĐÂY
>>> Xem gợi ý đáp án môn Hóa học 2025 TẠI ĐÂY
>>> Xem gợi ý đáp án môn Giáo dục kinh tế và pháp luật
>>> Xem gợi ý đáp án môn Công nghệ - Công nghiệp
>>> Xem gợi ý đáp án môn Công nghệ - Nông nghiệp
Báo GD&TD cập nhật gợi ý đáp án môn Tiếng Anh Kỳ thi tốt nghiệp THPT năm 2025 theo chương trình 2018 (Tuyensinh247):
Mã đề 1101:
 
Mã đề 1102:
 
Mã đề 1103:
 
Mã đề 1104:
 
Mã đề 1105:
 
Mã đề 1106:
 
Mã đề 1107:
 
Mã đề 1108:
 
Mã đề 1109:
 
Mã đề 1110:
 
Mã đề 1111:
 
Mã đề 1112:
 
Mã đề 1113:
 
Mã đề 1114:
 
Mã đề 1115:
 
Mã đề 1116:
 
Mã đề 1117:
 
Mã đề 1118:
 
Mã đề 1119:
 
Mã đề 1120:
 
Mã đề 1121:
 
Mã đề 1122:
 
Mã đề 1123:
 
Mã đề 1124:
 
Mã đề 1125:
 
Mã đề 1126:
 
Mã đề 1127:
 
Mã đề 1128:
 
Mã đề 1129:
 
Mã đề 1130:
 
Mã đề 1131:
 
Mã đề 1132:
 
Mã đề 1133:
 
Mã đề 1134:
 
Mã đề 1135:
 
Mã đề 1136:
 
Mã đề 1137:
 
Mã đề 1138:
 
Mã đề 1139:
 
Mã đề 1140:
 
Mã đề 1141:
 
Mã đề 1142:
 
Mã đề 1143:
 
Mã đề 1144:
 
Mã đề 1145:
 
Mã đề 1146:
 
Mã đề 1147:
 
Mã đề 1148:
 
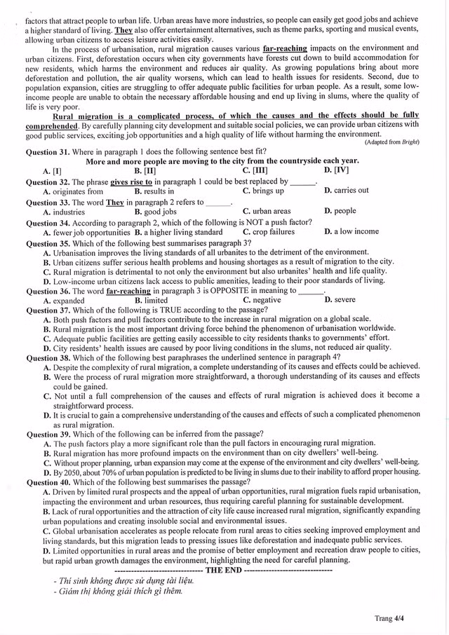
Đề thi môn Tiếng Anh Kỳ thi tốt nghiệp THPT năm 2025 theo chương trình GDPT 2018.
Mã đề 1105
 
 
 
 
>>> Tiếp tục cập nhật
Đề thi môn Tiếng Anh Kỳ thi tốt nghiệp THPT năm 2025 theo chương trình GDPT 2006:
>>> Tiếp tục cập nhật
Mời quý độc giả tham khảo đề thi minh họa môn Tiếng Anh kỳ thi tốt nghiệp THPT 2025 do Bộ Giáo dục & Đào tạo công bố:
 
 
 
 
 
  
  
   
   
   
   
   
   
   
   
   
   
   
   
   
   
   
   
   
   
   
   
   
   
   
   
   
   
   
   
   
   
   
   
   
  