![]() |
| Đề thi Toán vào lớp 10 Hà Nội 2023. |
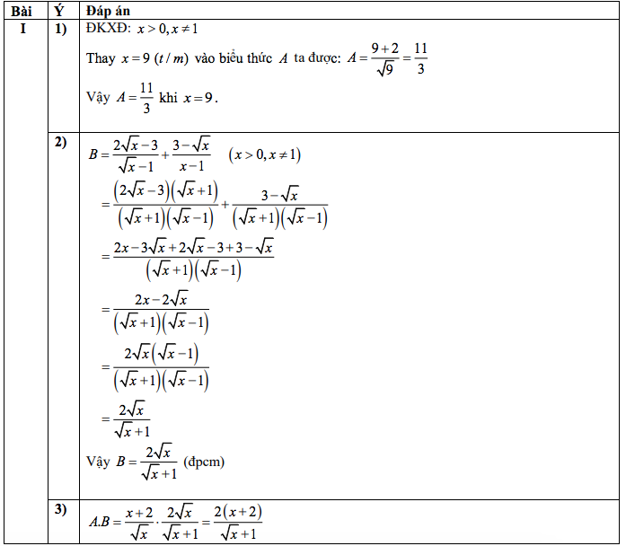
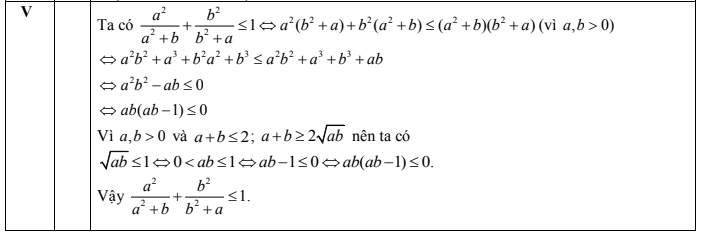
Dưới đây là gợi ý đáp án chi tiết đề thi Toán lớp 10 Hà Nội của Tổ Toán - Hệ thống Giáo dục HOCMAI:
![]() |
![]() |
![]() |
![]() |
![]() |
![]() |
"Cấu trúc đề năm 2023-2024 của Sở GD&ĐT Hà Nội về cơ bản không có sự thay đổi so với các năm trước đây. Đây là một yếu tố thuận lợi cho việc ôn tập của các thí sinh tham gia thi tuyển sinh. Dự kiến, mức điểm trung bình của thí sinh có thể rơi vào khoảng từ 6 - 7 điểm", ThS Hồng Trí Quang, giáo viên Hệ thống HOCMAI cho hay.






