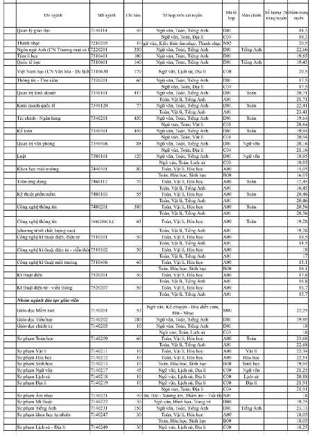
Theo đó, điểm chuẩn trúng tuyển các ngành học của SGU giao động từ 15.1 điểm đến 22.60 điểm.
Ngành học có điểm trúng tuyển cao nhất là ngành Ngôn ngữ anh. Ngành có điểm chuẩn trúng tuyển thấp nhất là ngành Công nghệ kỹ thuật môi trường.
Với nhóm ngành đào tạo giáo viên (15 ngành) điểm chuẩn trúng tuyển vào SGU khá cao. Cao nhất là ngành Sư phạm Toán với điểm trúng tuyển là 23,68 điểm, kế đến là Sư phạm tiếng Anh 23,13 điểm. các ngành còn lại điểm chuẩn trúng tuyển giao động từ 18 điểm- 22,68 điểm.
Danh sách điểm chuẩn cụ thể vào SGU:
![]() |
